一、RC 正弦波振荡器概述
RC 正弦波振荡器作为一种常见的电子振荡电路,巧妙地借助电阻(R)与电容(C)元件的相移特性来产生振荡信号。在信号传输过程中,电容器的电流相较于电压超前 90°,而电阻的电压与电流则保持同相位。当多个 RC 网络串联时,能够在输出与输入之间形成 180° 的相位差,进而构建起正反馈机制,驱动电路持续振荡,为电子系统提供稳定的信号源。
二、RC 正弦波振荡器的关键组成部分
放大器 :作为信号放大的核心部件,运算放大器常被应用于 RC 正弦波振荡器中。例如,LM124 或 LM324 等型号的运算放大器凭借其优异的性能,能够有效地对微弱的振荡信号进行放大,确保信号具备足够的幅度以满足电路的正常运行需求。
反馈网络 :反馈网络堪称 RC 振荡器的 “心脏”,主要由多个 RC 级构成。每个 RC 级能够提供一定的相位偏移,当多个 RC 级串联时,可累积产生出振荡所需的 180° 相移,从而实现自激振荡。该网络不仅决定了信号的相位关系,还对振荡频率的稳定性产生关键影响。


选频网络 :选频网络的作用在于精准地选择振荡器的工作频率。在 RC 振荡器架构中,通过合理配置电阻和电容的参数,便能构建出具有特定频率特性的选频网络。它如同一个 “频率守门员”,只允许特定频率的信号顺利通过并维持振荡,而滤除其他非期望频率的信号,保障振荡器的单一频率稳定输出。
稳幅环节 :为了维持振荡幅度的稳定,防止因外界干扰或电路元件参数波动导致振幅过大或过小,RC 正弦波振荡器必须配备稳幅环节。通过采用诸如二极管限幅、热敏电阻等稳幅措施,能够自动调节振荡幅度,确保振荡信号在稳定可靠的幅度范围内持续输出,为后续电路或负载提供稳定的信号源。
三、RC 正弦波振荡器工作原理
RC 振荡器的工作原理基于 RC 网络所提供的关键相移特性。具体而言,RC 网络能够为响应信号引入相移,而这一相移是实现振荡的必备条件。
RC 振荡器以其出色的频率稳定性而著称,能够为各类负载输出高纯度的正弦波信号。在单个电阻电容网络中,输出电压会相对于输入电压超前一定角度(小于 90°)。而在理想的单极 RC 网络中,理论上可产生最大 90° 的相移。然而,由于振荡发生需要 180° 的相移,因此在 RC 振荡器的实际设计中,至少需要运用两个单极网络来协同实现这一目标。


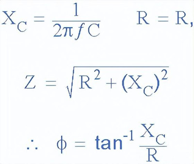
在实际电路中,由于每个 RC 级较难精准地实现 90° 相移,因此需要采用更多级联的 RC 级来获取所需的振荡频率。电路中实际相移量的大小取决于电阻(R)和电容(C)的参数值。在选定的振荡频率下,相位角(φ)可通过以下公式进行计算:
2、RC 相位角


其中,XC 为电容的容抗,R 为电阻的阻值,而 f 为信号的频率。
〈烜芯微/XXW〉专业制造二极管,三极管,MOS管,桥堆等,20年,工厂直销省20%,上万家电路电器生产企业选用,专业的工程师帮您稳定好每一批产品,如果您有遇到什么需要帮助解决的,可以直接联系下方的联系号码或加QQ/微信,由我们的销售经理给您精准的报价以及产品介绍
如果三级 RC 相移网络作为反馈网络连接在放大器电路的输出和输入之间,则产生所需再生反馈的总相移为:3 x 60 °+ 180 °= 360 ° = 0 °。如下图所示。


三个 RC 级级联在一起以获得稳定振荡频率所需的斜率。当每级相移为-60°时,反馈回路相移为-180 °。这发生在jω = 2pi? = 1/1.732RC为 ( tan 60 °= 1.732 ) 时。
然后,要在 RC 振荡器电路中实现所需的相移,就要使用多个 RC 相移网络。
联系号码:18923864027(同微信)
QQ:709211280