一、H 桥电路概述
H 桥电路是一种通过控制四个开关器件的导通组合,实现对负载(如电机)电流方向切换的电路,从而改变负载的运动方向或输出交流波形。其广泛应用于电机控制、电源转换等领域,具有重要的应用价值。
二、H 桥电路的构成与关键元件
H 桥电路由四个开关器件(如 MOSFET、IGBT 等)组成,排列成 “H” 形结构,负载(如电机)位于中间横杠位置。四个开关分为两组对角对(Q1/Q4 和 Q2/Q3),通过控制它们的通断组合实现电流方向切换。关键元件包括开关器件和续流二极管。续流二极管的主要作用是防止反向电压损坏电路,?;た仄骷透涸孛馐艿缪钩寤?。
三、H 桥电路的电源连接
电源连接方式为上端接电源正极,下端接地,负载两端分别连接左右开关节点。这种连接方式确保了电路的稳定性和安全性,同时为负载提供了合适的电压和电流条件。
四、H 桥电路的工作原理
(一)正转模式
当导通 Q1 和 Q4 时,电流路径为:电源正极 → Q1 → 负载 → Q4 → 电源负极。这种电流流向驱动负载(如电机)正向运转,适用于需要正向运动的应用场景。
(二)反转模式
导通 Q2 和 Q3 时,电流反向流动:电源正极 → Q2 → 负载 → Q3 → 电源负极。这种电流流向使负载反向运动,适用于需要改变运动方向的操作。
(三)逆变功能
通过交替切换正反转模式(如方波调制),H 桥电路可将直流电转换为交流电。配合滤波器后,可输出较为平滑的正弦波,满足对交流电源质量要求较高的应用需求。
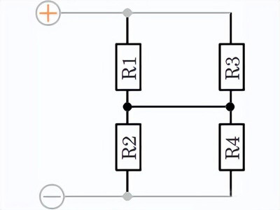
五、H 桥电路原理图解析
在 H 桥电路原理图中,图中间的导电路径具有特定的电压关系。R2 两端的电压等于 R4 两端的电压,R1 两端的电压等于 R3 两端的电压,且这些电压关系与四个电阻的电阻值无关。
如果两个分支之间没有电桥,中点的电位取决于电阻值的比率。当 R1 : R2 等于 R3 : R4 时,即使没有电桥,电势差也为零。这种特性在电路设计中具有重要意义,可用于实现电压的平衡和稳定。


六、上臂 PMOS 与下臂 NMOS 的协同工作
该桥电路由两个 P 型场效应管(Q2)和两个 N 型场效应管(Q4)组成,因此被称为 P - NMOS 管 H 桥。这些场效应管在桥臂上充当开关的角色,其中 P 型管在栅极电压为低时导通,高时关闭;而 N 型管则在栅极电压为高时导通,低时关闭。
(一)正转控制
当按照特定方式连接电路并控制臂 1 置高电平(U = VCC)、控制臂 2 置低电平(U = 0)时,Q1 和 Q4 将关闭,而 Q2 和 Q3 则会导通。这将导致电机左端呈现低电平,右端则为高电平,从而使得电流沿箭头方向流动,实现电机的正转。


(二)反转控制
当控制臂 1 置为低电平(U = 0),而控制臂 2 置为高电平(U = VCC)时,Q2 和 Q3 将关闭,而 Q1 和 Q4 则会导通。这一操作将导致电机左端呈现高电平,右端则为低电平,进而使电流反向流动,即实现电机的反转。


(三)停止状态
当控制臂 1 和控制臂 2 都处于低电平状态时,Q1 和 Q2 将导通,而 Q3 和 Q4 将关闭。这将导致电机两端都呈现高电平,从而阻止电流流动,电机因此不会转动。相反,当控制臂 1 和控制臂 2 都处于高电平状态时,Q1 和 Q2 将关闭,而 Q3 和 Q4 将导通。这同样会使电机两端都呈现低电平,电机同样不会转动。这种设计确保了无论控制臂的状态如何(必须避免悬空状态),H 桥都不会出现 “共态导通” 的情况,从而避免了短路的可能性。
〈烜芯微/XXW〉专业制造二极管,三极管,MOS管,桥堆等,20年,工厂直销省20%,上万家电路电器生产企业选用,专业的工程师帮您稳定好每一批产品,如果您有遇到什么需要帮助解决的,可以直接联系下方的联系号码或加QQ/微信,由我们的销售经理给您精准的报价以及产品介绍
联系号码:18923864027(同微信)
QQ:709211280