基于热敏电阻的测温技术
在测温领域,NTC热敏电阻器,即负温度系数热敏电阻器,凭借其独特的特性发挥着重要作用。其显著特点为电阻值会随着温度的上升而迅速下降,这一特性使其成为测量温度的关键元件。
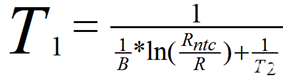
温度计算的核心公式如下:

其中,T1和T2分别表示开尔文温度,开尔文温度与摄氏度的换算关系为:开氏度=摄氏度+273.15。
Rntc代表热敏电阻在温度T1下的阻值。
R是热敏电阻在常温T2下的标称阻值,例如,50K的热敏电阻在25℃时的阻值为50K,此时对应的T2为273.15+25。
B则是热敏电阻的固有参数,此处取值为3950K。
通过上述公式转换后可得T1的值:

需要注意的是,计算得出的温度为开尔文温度,若需将其转换为摄氏度,只需减去273.15即可。
以下是NTC热敏电阻测温电路图中的典型微控制器保护电路:

在一些对温度敏感的应用场景,如快速充电过程中,为了防止因环境与电池之间的温差过大而引发问题,有必要测量环境温度。为此,可将第二个NTC热敏电阻直接放置在充电电路板上。

〈烜芯微/XXW〉专业制造二极管,三极管,MOS管,桥堆等,20年,工厂直销省20%,上万家电路电器生产企业选用,专业的工程师帮您稳定好每一批产品,如果您有遇到什么需要帮助解决的,可以直接联系下方的联系号码或加QQ/微信,由我们的销售经理给您精准的报价以及产品介绍
联系号码:18923864027(同微信)
QQ:709211280