以下内容将详细阐述耗尽区宽度的相关知识,旨在为您提供一个全面且专业的视角。
内建电场与耗尽区宽度的关系
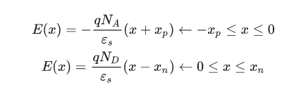
通过对耗尽区电场进行积分,能够得到内建电势 Vbi。






对于单边突变结,当 PN 结一侧的掺杂浓度远高于另一侧时(例如 P+N 结),


耗尽层主要集中在低掺杂的一侧。此时,内建电场的峰值主要取决于低掺杂一侧的杂质浓度。这种情况下,高掺杂一侧的耗尽层宽度相对较小,而低掺杂一侧的耗尽层宽度则较大。


耗尽层主要集中在低掺杂的一侧。此时,内建电场的峰值主要取决于低掺杂一侧的杂质浓度。这种情况下,高掺杂一侧的耗尽层宽度相对较小,而低掺杂一侧的耗尽层宽度则较大。
耗尽区宽度与掺杂浓度的关系
耗尽区宽度与掺杂浓度之间存在密切关系,具体表现为:高掺杂浓度导致耗尽区宽度变窄,而低掺杂浓度则导致耗尽区宽度变宽。这一现象的原理主要涉及半导体物理中的扩散和漂移现象,以及它们如何影响耗尽区的形成。
扩散与漂移现象
在半导体中,掺杂是一种通过引入杂质原子来改变材料导电性质的技术。这些杂质原子可以提供额外的电荷载体(电子或空穴),从而影响材料的导电性。
扩散是指电荷载体(电子或空穴)从高浓度区域向低浓度区域的运动。在 PN 结中,扩散作用是耗尽区形成的主要原因。当 PN 结形成时,p 区的空穴和 n 区的电子会分别向对方区域扩散,导致 PN 结界面处的电荷分离,形成耗尽区。
漂移则是指电荷载体在电场作用下的定向运动。在耗尽区内,由于存在内建电场,少数载流子(电子或空穴)会受到电场的作用而发生漂移运动。这种漂移运动与扩散运动共同维持着 PN 结的平衡状态。
耗尽区宽度的变化机制
当掺杂浓度较高时,单位长度区域内的载流子数量更多,离子数量也更多。这意味着在较少的单位长度内就能建立起一定强度的内电场,使得 PN 结更快地进入动态平衡阶段(即宽度不再发生变化)。因此,高掺杂浓度导致耗尽区宽度变窄。
相反,当掺杂浓度较低时,单位长度区域内的载流子数量更少,离子数量也更少。为了建立起相同的内电场,需要更多的单位长度,使得 PN 结进入动态平衡阶段的时间延长。因此,低掺杂浓度导致耗尽区宽度变宽。
通过对耗尽区宽度及其与掺杂浓度关系的深入理解,能够更好地掌握半导体器件的工作原理和特性,为半导体技术的发展和应用提供坚实的理论基础。
〈烜芯微/XXW〉专业制造二极管,三极管,MOS管,桥堆等,20年,工厂直销省20%,上万家电路电器生产企业选用,专业的工程师帮您稳定好每一批产品,如果您有遇到什么需要帮助解决的,可以直接联系下方的联系号码或加QQ/微信,由我们的销售经理给您精准的报价以及产品介绍
〈烜芯微/XXW〉专业制造二极管,三极管,MOS管,桥堆等,20年,工厂直销省20%,上万家电路电器生产企业选用,专业的工程师帮您稳定好每一批产品,如果您有遇到什么需要帮助解决的,可以直接联系下方的联系号码或加QQ/微信,由我们的销售经理给您精准的报价以及产品介绍
联系号码:18923864027(同微信)
QQ:709211280