传真:
18923864027
QQ:
709211280
地址:
深圳市福田区振中路84号爱华科研楼7层
烜芯微教你正确选择MOS管重要的一个环节,MOS管选择不好就可能影响到整个电路的功率使用,会造成雪崩等原因,了解不同的MOS管部件的细微差
场效应管分类场效应管分结型、绝缘栅型两大类。结型场效应管(JFET)因有两个PN结而得名,绝缘栅型场效应管(JGFET)则因栅极与其它电极完
小信号等效电路模仿电路解析包括直流解析和交流小信号解析。这里导入小信号解析时所需要的小信号等效电路。小信号等效电路模型是使计算简单
栅极接地放大电路如表3 1所示,所谓栅极接地放大电路,就是在栅极固定为一定电位的状态下,输入信号加到源极上,从漏极取出输出信号的电路
栅极驱动的优化以下几种简单的技术措施能够有效进步电路的开关速度,这就是栅极驱动的优化(图5 80)。通常状况下,为了进步电源的应用率
CMOS反相器的特性反相器的意思就是反转,是将输入的信号电平反转输出的电路。图10 5是将MOS晶体管置换为开关的反相器电路。就是说p沟 n沟MO
基于CMOS的普通的AB级输出电路图9 24示出一例用CMOS构成AB级输出电路的办法。输出晶体管M,和Mz两个栅极间并联衔接着n沟MOS晶体管M3和p沟MOS
输入阻抗高由于栅氧化膜与硅衬底绝缘,所以CMOS的输入具有十分高的输入阻抗。实践的CMOS器件中,输入级装备有维护电路(维护二极管或维护MO
MOS管工作原理MOS管定义MOS管学名是场效应管,是金属-氧化物-半导体型场效应管,属于绝缘栅型。其结构示意图:结构示意图解析1)沟道上面图
详解,N沟道MOS管和P沟道MOS管先讲讲MOS CMOS集成电路MOS集成电路特点:制造工艺比较简单、成品率较高、功耗低、组成的逻辑电路比较简单,
输入维护电路当器件加有过大的电压或电流时,器件会遭到损伤而导致性能劣化,严重时会被击穿。这时芯片上的布线或器件的分离局部将会被毁坏
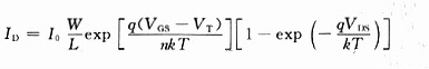
漏极电流与VGS呈指数关系至此,所考虑的MOS晶体管的工作,都是栅极—源极间电压VGS比阈值电压VT大时的状况。当VGS比VT大很多时,在栅氧化膜