如表3.1所示,所谓栅极接地放大电路,就是在栅极固定为一定电位的状态下,输入信号加到源极上,从漏极取出输出信号的电路。
当图3.5所示的栅极接地放大电路的源极电位(输入端)上升νin时,栅极—源极间电压VGS变小,漏极电流ID减小gnνin由于源极—漏极间电压也减小。νin假如也思索它的奉献,那么输出电压的变动νout可由下式给出:


式中,Reff=Rload//roo中右边的符号为正,这标明输出信号与输入信号同相变化。右边的(gm十l/ro)νin能够以为表示输入电压νin惹起的流过MOS晶体管电流的变化量。由于是流过有效的负载电阻Reff,所以式(3.5)示出的是输出电压的变动。


漏极接地放大电路
漏极接地放大电路是将漏极与电源电位(N沟MOS晶体管的场所)或者地电位(P沟MOS晶体管的场所)衔接,输入信号加到栅极,从源极取出信号的电路。
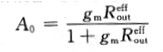
图3.6所示的漏极接地放大电路的电压增益A。由下式给出:


正如式(3.6)所标明的那样,漏极接地放大电路的电压增益小于1。假如gmReff》1,那么增益差不多能够视作1。
漏极接地电路具有电平转移电路的功用。当以恒流源替代输出负载电阻及load输出时,如图3.7所示,输出端Y叫,输出的只是将输人电位挪动了一定电压△V shift(=VT+2I/β)的电位。但是,由于图中MOS器件M1的源极端没有接地,所以它的阈值电压VT必需思索到衬底偏置效应的值予以变卦,这种电平转移电路由于兼备以下功用而得到应用:


(1)设定次级的输入偏置电压为恰当值(使直流电位电平挪动)的功用。
(2)将前级的信号传输给次级的功用
烜芯微专业制造二三极管,MOS管,20年,工厂直销省20%,1500家电路电器生产企业选用,专业的工程师帮您稳定好每一批产品,如果您有遇到什么需要帮助解决的,可以点击右边的工程师,或者点击销售经理给您精准的报价以及产品介绍
烜芯微专业制造二三极管,MOS管,20年,工厂直销省20%,1500家电路电器生产企业选用,专业的工程师帮您稳定好每一批产品,如果您有遇到什么需要帮助解决的,可以点击右边的工程师,或者点击销售经理给您精准的报价以及产品介绍