1.固定偏直电路
固定偏置电路如图15-11 所示,它是共发射极放大电路。当EC和RB一经确定,就能得到一个固定的基极电流lB和集电极电流IC, 所以把这种电路叫做固定偏置电路。
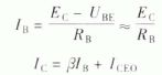
电路中的EC、IC、RC、β 和ICEO 等参数.一般都是预先根据需要而确定好的。计算基极电流(又称偏置电流)IB 和基极电阻(偏流电阻)RB时,可利用以下公式:


从上式可以求出IC和RB的值。但在实际应用中,往往还要调整RB,以得到较精确的IC。调整方法是:选择一个合适的电位器和电阻.串接后接在RB 的位置,断开RC和EC 的连接.串入一个电流在、调节电位器的阻值.使电流表指示达到预定的IC值。
由于半导体三极管的特性受植度的影响较大.当温度变化升高时,三极管的穿透电流lCEP显著增加,而IC又与ICEO 有关,所以IC也随之增加.从而会引起工作点的变动可以看出,固定偏置电路只是提供一个固定偏流lB的电路,它无法起到稳定工作点的作用。它的优点是电路结构简单,使用的元件少.可以用在不要求有稳定的静态工作点的电路中。


2. 电压负反馈偏直电路
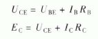
电压负反馈偏置电路如图15-12 所示。它和固定偏置电路的不同之处,是将偏流电阻RB接在了三极管集电极上。此时电路中各参数有以下的关系:




从上面过程可以看出,随温度的升高, IC的变化被拉了回来.达到了稳定静态工作点的作用。
要想这种电路效果好,就要使RC足够大,这样才能引起UCE 的足够变化,加深电压负反馈的作用。所以这种电路不适用于用变压器作负载的电路。偏流电阻RB一般取值为(2~10)RC。
3. 电流负反馈偏直电路
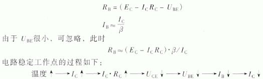
电流负反馈偏置电路如图15-13 所示。它和固定偏置电路的不同之处是.在半导三极管的发射极上串接了一个电阻RE 。此时电路各参数有以下的关系:


由于EC电源相对不变,若IERE 增加,必然引起UBE下降,从而造成IB的下降。电路稳定静态工作点的过程可以写成以下形式:


4. 分压式电流负反馈偏直电路
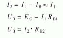
这是一种常用的偏置电路,它的典型电路如图15-14 所示。在这个电路中,除三极管发射极上接有RE外,同时在基极上还接有RB1和RB2 , 它们分别接在电源EC的两端。


分压式电流负反馈偏置电路有两种稳定作用:
①通过基极电阻RB1和RB2 的分压,以下关系成立:




上式说明基极电压UB只受EC·RB1和RB2 的影响,只要这三个参数确定,则UB 就可保持稳定。
①接入RE电路有电流负反馈的温度补偿作用
由于有以上两个稳定作用,所以分压式电流负反馈偏置电路的稳定作用较好。除此之外,这种电路还有一个优点,就是RC取值小些,也不影响稳定性,因此适用于各种负载的放大电路。
对于低频小信号放大电路来说,应用电路中的元件取值可参考以下原则:

烜芯微专业制造二极管,三极管,MOS管,桥堆等,20年,工厂直销省20%,1500家电路电器生产企业选用,专业的工程师帮您稳定好每一批产品,如果您有遇到什么需要帮助解决的,可以直接联系上方的联系号码或加QQ,由我们的销售经理给您精准的报价以及产品介绍

烜芯微专业制造二极管,三极管,MOS管,桥堆等,20年,工厂直销省20%,1500家电路电器生产企业选用,专业的工程师帮您稳定好每一批产品,如果您有遇到什么需要帮助解决的,可以直接联系上方的联系号码或加QQ,由我们的销售经理给您精准的报价以及产品介绍