功率MOSFET是从小功率MOS管展开来的。但在结构上,它们之间相差很大,为了更好天文解功率MOSFET的机理,首先来回想一下小功率场效应管的机理。以下以N沟道增强型小功率MOSFET的结构来说明MOS管的原理。


N沟道增强型小功率MOSFET的结构表示图
N沟道增强型MOS管是把一块低掺杂的P型半导体作为衬底,在衬底上面用扩散的方法构成两各重掺杂的N+区,然后在P型半导体上生成很薄的一层二氧化硅绝缘层,然后在两个重掺杂的N+区上端用光刻的办法刻蚀掉二氧化硅层,显露N+区,最后在两个N+区的表面以及它们之间的二氧化硅表面用蒸发或者溅射的办法喷涂一层金属膜,这三块金属膜构成了MOS管的三个电极,分别称为源极(S)、栅极(G)和漏极(D)。
MOSFET的特性可以用转移特性曲线和漏极输出特性曲线来表征。转移特性是指在漏源之间的电压UDS在某一固定值时,栅极电压UGS与相对应的漏极电流ID之间的关系曲线。图3是某种场效应管的转移特性。


图MOS管的漏极输出特性场效应晶体管的输出特性可以划分为四个区域:可变电阻区、截止区、击穿区和恒流区。 可变电阻区(UDS)
在这个区域内,UDS增加时,ID线性增加。在导电沟道接近夹断时,增长变缓。在低UDS分开夹断电压较大时,MOS管相当于一个电阻,此电阻随着UGS的增大而减小。截止区(UGS)
击穿区在相当大的漏-源电压UDS区域内,漏极电流近似为一个常数。当UDS加大道一定数值以后,漏极PN结发作击穿,漏电流疾速增大,曲线上翘,进入击穿区。饱和区(UDS>UGS-UT)在上述三个区域保卫的区域即为饱和区,也称为恒流区或放大区。功率MOSFET应用在开关电源和逆变器等功率变换中,就是工作在截止区和击穿区两个区。
功率MOSFET结构特性
图中MOSFET的结构是不合适运用在大功率的场所,缘由是两个方面的。一方面是结构上小功率MOSFET三个电极在一个平面上,沟道不能做得很短,沟道电阻大。另一方面是导电沟道是由表面感应电荷构成的,沟道电流是表面电流,要加大电流容量,就要加大芯片面积,这样的结构要做到很大的电流可能性也很小。
为了抑止MOSFET的载流才干太小和导通电阻大的难题,在大功率MOSFET中通常采用两种技术,一种是将数百万个小功率MOSFET单胞并联起来,进步MOSFET的载流才干。另外一种技术就是对MOSFET的结构中止改进,采用一种垂直V型槽结构。图3是V型槽MOSFET结构剖面图。


图3V型槽MOSFET结构剖面图在该结构中,漏极是从芯片的背面引出,所以ID不是沿芯片水平方向活动,而是自重掺杂N区(源极S)动身,经过P沟道流入轻掺杂N漂移区,最后垂直向下抵达漏极D。电流方向如图中箭头所示,由于流通截面积增大,所以能经过大电流。在相同的电流密度下,体积也大大减少。
功率MOSFET电流详解
通常,在功率MOSFET的数据表中的第一页,列出了连续漏极电流ID,脉冲漏极电流IDM,雪崩电流IAV的额定值,然后对于许多电子工程师来说,他们对于这些电流值的定义以及在实际的设计过程中,它们如何影响系统以及如何选取这些电流值,常常感到困惑不解,本文将系统的阐述这些问题,并说明了在实际的应用过程中如何考虑这些因素,最后给出了选取它们的原则。
连续漏极电流
连续漏极电流在功率MOSFET的数据表中表示为ID。对于功率MOSFET来说,通常连续漏极电流ID是一个计算值。
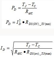
当器件的封装和芯片的大小一定时,如对于底部有裸露铜皮的封装DPAK,TO220,D2PAK,DFN5*6等,那么器件的结到裸露铜皮的热阻RθJC是一个确定值,根据硅片允许的最大工作结温TJ和裸露铜皮的温度TC,为常温25℃,就可以得到器件允许的最大的功耗PD:
当功率MOSFET流过最大的连续漏极电流时,产生最大功耗为PD:


因此,二式联立,可以得到最大的连续漏极电流ID的计算公式:
其中,RDS(ON)_TJ(max)为在最大工作结温TJ下,功率MOSFET的导通电阻;通常,硅片允许的最大工作结温为150℃。
所以,连续漏极电流ID是基于硅片最大允许结温的计算值,不是一个真正的测量值,而且是基于TC=25℃的计算值。RqJC,TC,这里的C: Case,是裸露铜皮,不是塑料外壳,实际应用中TC远远高于25℃,有些应用甚至高达120℃以上,因此ID只具有一定的参考价值。另外,连续的额定电流还要受封装因素的限制:特别是底部具有裸露铜皮的封装。
封装限制通常是指连接线的电流处理能力,导线直径对于流过的电流也有一定的限制。对于额定的连接线的电流限制,常用方法是基于连接线的熔化温度。这并不正确的原因在于:当连接线温度大于220℃时,会导致外壳塑料的熔化分解。在许多情况下,硅电阻高于线的电阻的10倍以上,大部分热产生于硅的表面,最热的点在硅片上,而且结温通常要低于220oC, 因此不会存在连接线熔化问题,连接线的熔化只有在器件损坏的时候才会发生。
有裸露铜皮器件在封装过程中硅片通过焊料焊在框架上,焊料中的空气以及硅片与框架焊接的平整度会使局部的连接电阻分布不均匀,通过连接线连接硅片的管脚,在连接线和硅片结合处会产生较高的连接电阻,因此实际的基于封装限制连续漏极电流会小于基于最大结温计算的电流。
在数据表中,对于连续漏极电流有二种标示法,不同的公司采用不同的方法:
(1) 数据表的表中,标示基于最大结温的计算值,通常在数据表底部的的注释中,说明基于封装限制的最大的连续漏极电流,如下图所示,202A和75A。
(2) 直接在数据表的表中,标示基于封装限制的连续漏极电流,而不再使用注释,如上面AON6590数据表中,标示的就是封装限制的电流。
测量器件的热阻,通常是将器件安装在一个1平方英寸2oz的铜皮的PCB上,对于底部有裸露铜皮的封装,等效热阻模型如图1所示。如果没有裸露铜皮的封装,如SOT23,SO8等,图1中的RqJC通常要改变为RqJL,RqJL就是结到管脚的热阻,这个管脚是芯片内部与衬底相连的那个管脚。


等效热阻模型
RqJA是器件装在一定尺寸的PCB板测量的值,不是只靠器件本身单独散热时的测试值。实际的应用中,通常RqJT+RqTA>>RqJC+RqCA,器件结到环境的热阻通常近似为:RqJA=RqJC+RqCA。热阻确定了就可以用公式计算功率MOSFET的电流值连续漏极电流ID,当环境温度升高时,计算ID的值相应也会降低。
裸露铜皮的封装,使用RqJC或RqJA来校核功率MOSFET的结温,通??梢栽龃笊⑷绕?,提高器件通过电流的能力。底部没有裸露铜皮的封装,使用RqJL或RqJA来校核功率MOSFET的结温,其散热的能力主要受限于晶片到PCB的热阻。
数据表中ID只考虑导通损耗,在实际的设计过程中,要计算功率MOSFET的最大功耗包括导通损耗、开关损耗、寄生二极管的损耗等,然后再据功耗和热阻来校核结温,保证其结温小于最大的允许值,最好有一定的裕量。
脉冲漏极电流
脉冲漏极电流在功率MOSFET的数据表中标示为IDM,对于这个电流值,要结合放大特性来理解它的定义。
功率MOSFET工作也可以工作在饱和区,即放大区恒流状态,此时,电流受到沟道内电子数量的限制,改变漏极电压不能增加流通电流。功率MOSFET从放大区进入稳态工作可变电阻区,此时,VGS驱动电压对应的的放大恒流状态的漏极电流远远大于系统的最大电流,因此在导通过程中,功率MOSFET要经过Miller平台区,此时Miller平台区的的电压VGS对应着系统的最大电流。
然后Miller电容的电荷全部清除后,VGS的电压才慢慢增加,进入到可变电阻区,最后,VGS稳定在最大的栅极驱动电压,Miller平台区的电压和系统最大电流的关系必须满足功率MOSFET的转移工作特性或输出特性。


MOSFET输出特性
对于某一个值的VGS1,在转移工作特性或输出特性的电流为ID1,器件不可能流过大于ID1的电流,转移工作特性或输出特性限制着功率MOSFET的最大电流值。功率MOSFET工作在线性区时,最大的电流受到VGS的限制,也就是最大的电流IDM和最大的VGS要满足功率MOSFET的转移工作特性或输出特性限制:


其中,gfsFS为跨导。


转移工作特性
器件工作在线性区,功耗为电流和压降乘积,因此产生较大功耗,此电流该参数反映了器件可以处理的脉冲电流的能力,脉冲电流要远高于连续的直流电流。IDM工作在连续的状态下,长时间工作在大功率之下,功率MOSFET的结温可能会超出范围,将导致器件失效。在脉冲的状态下,瞬态的热阻小于稳态热阻,可以满足电流范围更大。
这也表明,数据表中功率MOSFET的脉冲漏极电流额定值IDM对应着器件允许的最大的VGS,在此条件下器件工作在饱和区,即放大区恒流状态时,器件能够通过的最大漏极电流,同样,最大VGS的和IDM也要满足功率MOSFET的转移工作特性或输出特性。
温度升高依赖于脉冲宽度、脉冲间的时间间隔、散热状况、以及脉冲电流波形和幅度。单纯满足脉冲电流不超出IDM上限并不能保证结温不超过最大允许值,要参考热性能和瞬时热阻,来估计脉冲电流下结温,也就是最大的脉冲漏极电流IDM还要满足最大结温的限制,因此IDM要满足二个条件:
(1) 在一定的脉冲宽度下,基于功率MOSFET的转移工作特性或输出特性的真正的单脉冲最大电流测量值;数据表中,VGS=10V,260us电流脉冲时,真正的单脉冲的电流测量值。
(2)在一定的脉冲宽度下,基于瞬态的热阻和最大结温的计算值。数据表中,脉冲宽度取260us。
雪崩电流
雪崩电流在功率MOSFET的数据表中表示为IAV,雪崩能量代表功率MOSFET抗过压冲击的能力。在测试过程中,选取一定的电感值,然后将电流增大,也就是功率MOSFET开通的时间增加,然后关断,直到功率MOSFET损坏,对应的最大电流值就是最大的雪崩电流。
在数据表中,标称的IAV通常要将前面的测试值做70%或80%降额处理,因此它是一个可以保证的参数。一些功率MOSFET供应商会对这个参数在生产线上做100%全部检测,因为有降额,因此不会损坏器件。
注意:测量雪崩能量时,功率MOSFET工作在UIS非钳位开关状态下,因此功率MOSFET不是工作在放大区,而是工作在可变电阻区和截止区。因此最大的雪崩电流IAV通常小于最大的连续的漏极电流值ID。
采用的电感值越大,雪崩电流值越小,但雪崩能量越大,生产线上需要测试时间越长,生产率越低。电感值太小,雪崩能量越小。目前低压的功率MOSFET通常取0.1mH,此时,雪崩电流相对于最大的连续的漏极电流值ID有明显的改变,而且测试时间比较合适范围。
烜芯微专业制造二三极管,MOS管,20年,工厂直销省20%,1500家电路电器生产企业选用,专业的工程师帮您稳定好每一批产品,如果您有遇到什么需要帮助解决的,可以点击右边的工程师,或者点击销售经理给您精准的报价以及产品介绍
烜芯微专业制造二三极管,MOS管,20年,工厂直销省20%,1500家电路电器生产企业选用,专业的工程师帮您稳定好每一批产品,如果您有遇到什么需要帮助解决的,可以点击右边的工程师,或者点击销售经理给您精准的报价以及产品介绍