金属(例如铝、铜和银)都是很好的电导体,原子周期性规则排列。原子外层电子(价电子)可以在材料中自由移动。由于原子的数量非常大,因此自由电子的数量更是庞大(通常在1023cm-3的量级),即使是非常小的电场都会导致很大的电子电流-因此,金属总是呈现出很好的导电特性。
但是,绝缘体(例如二氧化硅)与导体的特性就完全个一样。在绝缘体中,价电子在邻近原子之间形成价键,从而被紧紧束缚在原子的周围。因此,绝缘体中没有可移动的自由电子,从而电导率非常低。
半导体(例如硅或者锗)的导电特性介于导体和绝缘体之间。在极低温时,价电子束缚在其原子周围,形成规则的晶体。但是,随着温度升高,由于原予的热扰动,一些价键断裂,电子就会从断裂的价键巾逃逸出来。这种电子具有导电能力。而且,每一个逃逸的电子将在价键处留下一个电荷缺陷(称为空穴)。价键中的价电子如果与空穴邻近,就很容易移动填入宅穴,在其原来的位置留下一个新的空穴。这种效应就像空穴从一个价键流向另一个位置??昭ǖ?ldquo;移动。方向与价电子的移动方向相反,在电场中,空穴的行为就像一个正电荷。
对半导体来说,在室温下导电是可能的。但是,热运动产生的电子和空穴浓度都远小于金属中自由电子的浓度。通常情况,对于硅和锗来说,每立方厘米中的载流子数典型值分别为1010和1013在下面的章节中,将主要分析目前的主流材料-硅。
在纯净的硅材料中添加额外的外来粒子(掺杂物)可以提高半导体中自由载流子的数量。硅(和锗)具有四个价电子。如果掺杂物中的原子有五个价电子(例如砷、磷或者锑),将该材料掺杂进入半导体,这些杂质原子就会占据硅原子在晶格中的位置。因此,四个价电子都会参与形成四个价键,将原子与品格中临近的原子绑在一起。外来杂质的第五个价电子没有任何价键束缚,可以在材料中自由移动,但是,这个价电子也可能出现存任意价键中,从而脱离现有原子的束缚,成为自由电子。因此,这种杂质原子(也称为施主原子,因为其增加了半导体中自由电子的数量)可以改变材料的电导特性。
在纯净的硅材料:1,添加仪有三个价电子的杂质原子也可以提高半导体的电导率。每个杂质原子将缺乏一个价键电了,因此,这种原子就可以产牛一个空穴。这些杂质(例如硼、铝和镓等)称为受主原子,因为空穴会通过接受临近半导体原子价键的价电子来实现移动,从而产生电流。
这样,掺杂半导休将同时存在由于热运动形成的载流子和施主(或者受主)原子。包含施主原子的材料同时具有自由电子和空穴,其电子数量多于空穴。这种半导体也称为N型半导体,这里N表示“Negative”(负的)。包含受主原子的材料中,空穴为多数载流子,因此称为P型半导体,这里P表示“Positive”(正的)。
半导体上艺也可以制造出同时包含不向类型邻近区域的结构(图2.1)。将两种类型区域结合起来的表面区域称为PN结。当PN结形成时,多数载流子(N型区域的多子为电子,P型区域的多子为空穴)的随机热运动将使电了从N型区域流向P型区域。反之,空穴将从P型区域流向N型区域。因此,这种随机热运动(称为扩散)会使P型半导体积累负电荷,而N型半导体积累正电荷。这种效应在PN
结的接触面附近最为显著:在P型区域,带负电的受主原子由于空穴的引入不再呈现电中性,而(N型区域)自由载流子个再围绕在带正电荷的施主离子附近。因此,在PN结的附近,形成了固定离子的偶极子层(图2.2)。偶极子层会产牛一个与多数载流子扩散方向相反的电场E,会使热运动产牛的少数载流子(P型区域中的电子和N型区域中的空穴)从一个区域流向另一个区域。因此,在短暂的瞬态变化后,PN结中载流子状态达到平衡。四种不同的载流子将在半导体中流动:多数载流子将从一个区域扩散至另一个区域,与电场E无关,少数载流子将在电场E的作用卜流动。因为电场E的效应会补偿多数载流子的数量,所以,在平衡状态下,这些电流将相互抵消。
如果在半导休上:焊接导线,并施加电压,其平衡状态将被打破(图2.3)。首先,假设电压源的极性是使P型区域的电压高于N型区域的电压,那么在图2.3中就是V>0。然后外加电压将降低电场E,从而减小了电场E的束缚,增加了多数载流子在边界上的扩散电流。即使电场E只有少量减小,例如V=0.8V,可以在电路中产生很大的多数载流子电流(例如I=lA)。因此,这种极性的电压V就称为正向电压,而I也就称为正向电流。
现在分析电压极性相反的情况,即图2.3中,V<0)。这样外加电压V将增强电场E,阻止多数载流子在区域问流动。如果V足够大,多数载流子电流几乎消失,只有少数载流子仍在流动(电子从P型区域流向N型区域,空穴从相反入向移动)。由于少数载流子的数量非常小,而且几乎与外加电压V无关,从而PN结的净电流将非常小,基本保持恒定。这种情况下,V和I就分别称为反向电压和反向电流。利用图2.3中所规定的参考方向,此时I


其中,Is表示二极管的反向饱和电流,由器件采用的材料特性以及器件几何尺寸确定;电子电荷最q≈1.6X10-19C;玻尔兹曼常数R≈1.38X10-23J/K;T表示半导体的温度,单位为开尔文,在室温下(T=300K),RT/q≈26mV。Is通常都非常小,在10-9A量级,甚至可能更低。从而可以得出,当V>O时,电流丁随着电压的升高而呈指数关系增大,而当V<0,电流I≈一Is,其值非常?。ㄍ?.4)。
N型区和P型区交界区域的特性是非常重要的。如前文所述,在该区域中,多数载流子是非常稀疏的,一些载流子流进该区域,而同时另一些被电场E推回到本身原来的区域。因此,交界区域含有固定的离子,使得P型区带有负电,而N型区带正电(图2.3)。因此,这一区域称为耗尽层,其宽度随着电场E的增加而增大,即在反向偏置(正向偏置)状态下,耗尽层宽度将增大(减?。?。


由于电场E的存在,当外加电压为0时,耗尽区仍然会呈现偏置电压ψ:(通常称为内建电压)。当外加电压不为0时,PN结上总的电压降应为ψi-V,通常情况下,ψi=0.5~1V。
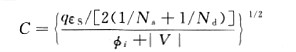
对于V


其中,εs≈1.04pF/cm表示硅的介电常数,εs≈εoKs,这里εo表示自由空间( FreeSpace)的介电常数(εo≈8.86X10-14F/cm);Ks≈ll.7表示硅的相对介电常数(有时为了简单也称为介电常数);Na(Nd)表示每立方厘米中受主原子(施主原子)的数量。
注意,电容C随着电压|v|的增大而不断增大。
烜芯微专业制造二三极管,MOS管,20年,工厂直销省20%,1500家电路电器生产企业选用,专业的工程师帮您稳定好每一批产品,如果您有遇到什么需要帮助解决的,可以点击右边的工程师,或者点击销售经理给您精准的报价以及产品介绍
烜芯微专业制造二三极管,MOS管,20年,工厂直销省20%,1500家电路电器生产企业选用,专业的工程师帮您稳定好每一批产品,如果您有遇到什么需要帮助解决的,可以点击右边的工程师,或者点击销售经理给您精准的报价以及产品介绍