什么是串联?串联是指两个或两个以上物体并行相连串接在一同,就似乎一列火车,各个高速公路串联在一起。电子技术中的串联主要有元器件的串联、电路的串联、电气设备的串联等。
在元器件的串联中,电阻串联后总阻值增大。两个电阻的串联如图1-13所示,电阻R1的电阻值为R1。电阻R2的电阻值为R2两个电阻串联后,等效为一个电阻R,电阻R的电阻值R=R1+R2。当R1=R2时,R=2R1。
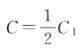
电容串联后总容量减小。两个电容的串联如图l-14所示,电容C1的电容量为C1,电容C2的电容量为C2两个电容串联后,等效为一个电容C,电容C的电容容量C=
,当C1=C2时,
。




测量电流时—般采用串联方式,如图1-15所示,电流表PA串接在灯泡EL的电路中,即可丈量灯泡的电流。
电灯的串联如图1-16所示,两个功率相等的灯泡EL1、EL2串联衔接在220V电源上,每个灯泡得到一半电压,即110V电压。这可以是两个IlOV灯泡的一种应用方式,也可以是两个220V灯泡降低亮度延短命命的应用方式。

烜芯微专业制造二三极管,MOS管,20年,工厂直销省20%,1500家电路电器生产企业选用,专业的工程师帮您稳定好每一批产品,如果您有遇到什么需要帮助解决的,可以点击右边的工程师,或者点击销售经理给您精准的报价以及产品介绍

烜芯微专业制造二三极管,MOS管,20年,工厂直销省20%,1500家电路电器生产企业选用,专业的工程师帮您稳定好每一批产品,如果您有遇到什么需要帮助解决的,可以点击右边的工程师,或者点击销售经理给您精准的报价以及产品介绍