有些应用程序需要宽范围的输出调节功能,并且需要输出的电流低于20mA。对于需要宽范围输出调节电压和低电流输出的应用电路,采用分立组件构成的线性稳压器是非常低成本高效益的解决方案(图1)。对于需要精确输出调节电压和高电流的需求,我们可以选择高性能的芯片-低压差线性稳压器(LDO)。


图1所示的电路涉及两个设计方面的挑战。第一个挑战是调节到需求的稳定输出电压,第二个挑战是在电路短路的情况下要保持电路的安全稳定性。下面将会介绍如何使用分立器件来设计稳定的线性稳压器。
下面是对于此电路的需求:输入电压范围:8.4V至12.6V。输出电压范围:1.71V至3.7V。最大负载电流:最大输出电流为Io_max = 20mA。
三极管Q1的选择:
NPN三极管Q1是这个电路最重要的组件。我们首先要选择这种器件。该三级管必须符合下列要求:集电极c至发射极e和基极b至发射极e的击穿电压必须超过最高输入电压Vin_max。集电极最大允许电流必须超过最大负载电流Io_max。
下面是我们选到的的NPN晶体管的关键特性。当IC = 50mA时:直流(DC)电流增益hFE = 60;集电极c-发射极e最高饱和电压VCEsat = 300mV;基极b-发射极e最高饱和电压VBEsat = 950mV。
齐纳二极管Dz的选择
输出电压等于反向齐纳电压VZ减去该晶体管基极至发射极电压VBE。因此,最低反向齐纳电压应符合下述要求(方程式1):


基极上拉电阻器RB
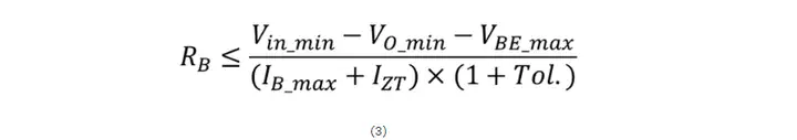
电阻RB它是为齐纳二极管Dz和三极管Q1的基极提供电流。在正常运行时,它应提供足够的电流。齐纳二极管Dz的反向电流IZ要大于1mA,方程式2大致可以估算出运行所需的最大基极电流:


这里是增益Hfe_min = 60。所以,IB_max ≈ 0.333mA。
方程式3大概可以计算出RB的值。


因此,RB应该小于4.26kΩ。我们使用了4.22kΩ标准值的电阻。
〈烜芯微/XXW〉专业制造二极管,三极管,MOS管,桥堆等,20年,工厂直销省20%,上万家电路电器生产企业选用,专业的工程师帮您稳定好每一批产品,如果您有遇到什么需要帮助解决的,可以直接联系下方的联系号码或加QQ/微信,由我们的销售经理给您精准的报价以及产品介绍
〈烜芯微/XXW〉专业制造二极管,三极管,MOS管,桥堆等,20年,工厂直销省20%,上万家电路电器生产企业选用,专业的工程师帮您稳定好每一批产品,如果您有遇到什么需要帮助解决的,可以直接联系下方的联系号码或加QQ/微信,由我们的销售经理给您精准的报价以及产品介绍
联系号码:18923864027(同微信)
QQ:709211280