目前,国内外广泛使用的密码处理芯片大都是实现某种特定密码算法的专用芯片,如MD5芯片、SHA一1芯片等。由于专用密码芯片实现的密码算法是确定的且不可更改的,因此难以满足不同密码用户多层次的安全性需要。为克服这一缺陷,本文介绍了SHA一1、SHA224及SHA256三种安全杂凑算法的基本流程,采用可重构体系结构的设计思想和方法设计出一款可实现这三种算法的可重构密码芯片,并对关键路径进行了优化设计。最后给出了基于Ahera公司的Cyclone系列FPGA的可重构密码芯片的实现结果。
1.算法简介
1.1SHA-1算法介绍
SHA-1算法输入报文的最大长度不超过264bit,输入按512bit分组进行处理,产生的输出是一个160bit的报文摘要。该算法处理包括以下几个步骤:
(1)附加填充比特。对报文进行填充使报文长度与448模512同余(长度=48 mod 512),填充的比特数范围从1到512,填充比特串的最高位为1,其余位为0。
(2)附加长度值。将用64bit表示的初始报文(填充前)的位长度附加在步骤(1)的结果后(低位字节优先)。
(3)初始化缓存。使用一个160bit的缓存存放该散列函数的中间值及最终结果。该缓存的值分别表示为A=67452301。B=EFCDAB89,C=0x98BADCEF,D=0x10325476,E=C3D2E1F0。
(4)处理512bit(16个字)报文分组序列。算法的核心是一个包含四个循环的模块,每个循环由20个处理步骤组成。四个循环有相似的结构,但每个循环使用不同的逻辑函数,分别表示为f1、f2、f3、f4。每个循环都以当前正在处理的512bit和160-bit缓存值A、B、C、D、E为输入,然后更新缓存内容。每个循环还使用一个额外的常数值,对应的四轮Kt取值及逻辑函数ft如表1所示。第四循环最后一步的输出与第一循环的输入进行模232相加后得到下一个512bit分组计算所需的A、B、C、D、E值。


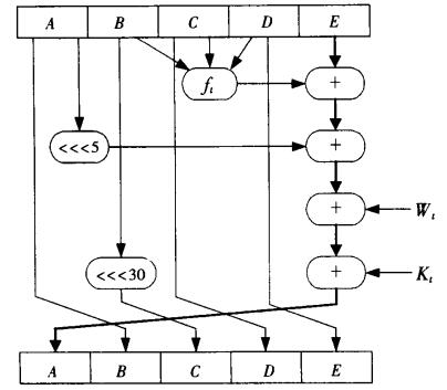
(5)所有的512bit分组处理完毕后,最后一个分组产生的输出便是160bit的报文摘要。图1说明了SHA一1算法中每一处理步骤所包含的操作。


图1 基本的SHA-1操作(单步)
1.2SHA-224/SHA-256算法介绍
SHA-224/SHA-256算法输入报文的最大长度不超过264bit,输入按512bit分组进行处理,产生的输出是一个224bit或256bit的报文摘要。该算法处理包括以下几个步骤:
(1)和(2)与SHA-1算法的前两步相同。
(3)初始化缓存。使用一个256bit的缓存存放该散列函数的中间值及最终结果。当执行SHA-224算法时,该缓存的值分别表示为A=0xC1059ED8,B=0x367CD507,C=0x3070DD17,D=0xF70E5939,E=0xFFC00B31,F=0x68581511,G=0x64F98FA7,H=0xBEFA4FA4;当执行SHA一256算法时,该缓存的值分别表示为:A=0x6A09E667=0xBB67AE85,C=0x3C6EF372,D=0xA54FF53A,E=0x510E527F,F=0x9B05688C,G=0x1F83D9AB,H=0x5BEOCD19。
(4)处理512bit(16个字)报文分组序列。该算法使用六种基本逻辑函数,由64步迭代运算组成。每步都以256bit缓存值A、B、C、D、E、F、G、H为输入,然后更新缓存内容。每步使用一个32bit常数值Kt和一个32bitWt。六种基本函数如下:


Wt是由当前的输入分组(512bit长)导出的32bit长的数。在所有64次运算完成之后,将其输出A、B、C、D、E、F、G、H与第一步的输入A、B、C、D、E、F、G、H的值对应进行模232相加。然后将其结果作为下一分组数据A、B、C、D、E、F、G、H的值继续运行算法。
(5)所有的512bit分组处理完毕后,对于SHA256算法,最后一个分组产生的输出便是256bit的报文摘要;若是SHA-224算法,则最后一个分组产生的输出取前224bit作为报文摘要。图2说明了SHA-224/SHA-256算法每一处理步骤所包含的操作。


图2 基本的SHA-224/SHA-256单步运算
2.电路结构
2.1总体结构设计
本设计采用可重构密码芯片的设计思想,通过对SHA-1、SHA-224、SHA-256三种算法分析可以看出,这三种算法的Wt生成电路和移位存储模块是可重用的部件。数据通路中的CSA加法器、存放杂凑值的移位寄存器以及常数值存储??镵也都是可重用的部件。按照上述分析,把该芯片分为三大??椋捍娲⒛??、控制模块、可重用处理模块。其中,存储??橛糜诖娲⒏髦炙惴ㄋ璧某J???刂颇?橛糜诮邮胀獠康目刂菩藕藕脱≡袼惴ㄐ藕?,控制各种算法的存储和运算。可重用处理??橛糜诙愿髦炙惴ń锌芍毓辜扑?。根据整体算法要求,又将其再往下划分为七个功能子???。本设计充分利用FPGA可重构计算的特点,对可重用的??榻锌芍毓辜扑阋允迪侄訤PGA资源的灵活有效利用。SHA-1/SHA-224/SHA-256可重构运算电路IPCORE由以下七个子??楣钩桑嚎刂频缏?、Wt生成电路、Kt常数寄存器、填充电路、运算电路、HASH值暂存寄存器、移位寄存器。本设计总体结构框图如图3所示。


图3 SHA-1/SHA-224/SHA-256可重构芯片电路设计整体架构
其中,Kt常数寄存器子??楹虷ASH值暂存寄存器子??槭粲诖娲⒛??Wt生成电路子???、填充电路子???、运算电路子???、移位寄存器子模块属于可重用处理?????刂频缏纷幽?槭粲诳刂颇??。每个子??榫咛骞δ芪篧t生成电路负责对每组512bit的输入数据生成64个或80个32bit的字并送入运算通路。Kt常数寄存器用于存储64个或80个32bit的常量。控制电路负责接收外部的控制信号,并产生所有的内部控制信号,采用计数器电路生成。填充电路接收输入数据,产生每个512bit分组并送入Wt生成电路。运算电路负责计算多个模232加法。然后将其结果送入移位寄存器。HASH值暂存寄存器用于存储5个或8个32bit寄存器的初始值以及每个512bit分组运算完毕后的5个或8个32bit寄存器的临时值。移位寄存器负责对每步运算的数据进行移位存储。当HASH运算结束时,移位寄存器将其本身值与HASH值暂存寄存器中的值相加。当外部读信号有效时,电路实现串行移位功能,在控制信号作用下,将寄存器内的数据顺序读出。
CLK是系统时钟信号;RESET是复位信号,RESET有效时,所有寄存器复位;INIT是初始化信号,INIT有效时,初始化摘要计算,在每一批数据进行摘要运算之前,首先执行初始化操作,然后按512bit分组写入数据;WEN是写使能信号,WEN有效时,在CLK时钟上升沿将512bit的数据分16次由32bit数据总线写入芯片内部数据寄存器;REN是读使能信号,REN有效时,将内部运算结果读出数据端口;DATAIN是数据输入,即输入的512bit分组数据。SEL是选择算法指令信号,用来选择所需的算法。READY是运算状态信号,每512bit分组运算完毕后,READY变为有效,等待读出或外部数据继续输入。DIGEST是摘要值输出,即REN信号有效时输出的相应摘要值。
2.2控制电路设计
控制电路的核心是一个7位计数器,每来一个时钟信号,便进行加1操作,根据不同的计数值可给出不同的控制信号。依照算法要求,每处理一组5l2bit分组数据时,若执行SHA-1算法则需要80步运算;若执行SHA-224/SHA-256算法则需要64步。为实现逻辑资源的可重构,达到计数器资源重用的目的,就需要计数器在不同的算法下产生不同的控制信号。本控制电路采用增加选择算法信号(SEL)来实现,其结构如图4所示。其中READY信号表示每一分组运算完成信号。ADD信号表示分组运算的最后一步各寄存器的值与第一步计算时的各寄存器的输入值相加信号。START信号表示移位寄存器移位信号。


图4 SHA-1/SHA-224/SHA-256控制电路设计
2.3数据路径优化设计
SHA-1运算??槭褂梦甯黾拇嫫?见图1)存放散列函数每一步运算的中间结果;SHA-224/SHA-256运算??樵虿捎冒烁黾拇嫫?见图2)存放散列函数每一步运算的中间结果。为实现可重构计算以使不同算法逻辑单元重用,本设计采用八级移位寄存器A、B、C、D、E、F、G、H实现,每个寄存器32bit位宽。当执行SHA一1算法时,使用前五个32bit移位寄存器;当执行SHA-224/SHA-256算法时,使用全部八个移位寄存器。当RESET信号有效时,寄存器初始化,电路将根据不同算法给寄存器赋初值。数据路径设计的关键是计算每步A寄存器的值。当执行SHA-1算法时,At+1=(Et+ft(Bt,Ct,Dt)+At(<<<5)+Wt+Kt)mod232;当执行SHA-224/SHA-256算法时:At+1=(Ht+∑t(Et)+Ch(Et,Ft,Gt)+Kt+Wt+∑0(At)+Maj(At,Bt,Ct)mod232
式中:At、Bt、Ct、Dt、Et、Ft、Gt、Ht、Wt、Kt是第t时刻的各寄存器的值、消息分组和常数值。At+1是第t+1时刻的A寄存器的值。
SHA-1/SHA-224/SHA-256运算??榈墓丶肪兜纳杓剖羌扑鉇t+1,在这一路径中,需要完成多个多变量逻辑函数和多个连续32位加法的运算。可以看出,At+1计算主要包括非线性函数运算、加法运算和移位。其中非线性函数运算只是完成信号在不同输入输出之间的切换,只需用组合逻辑电路设计,不会产生太大的延迟;移位只占用布线资源,同样不会对电路的速度有影响;而加法运算由于进位会在电路上产生延迟,因此应尽量对其进行优化,否则会影响电路运算速度。因此在电路的设计上采用保存进位加法器(CSA),以减少延迟。由于SHA-1算法执行的是五个连续32位加法,而SHA-224/SHA-256执行的是七个连续32位加法,而且SHA-1与SHA-224/SHA-256所使用的逻辑函数和输入寄存器的值不同,这就需要将各个不同的函数变换的值提前计算出来,再根据选择的算法对不同的值进行选择,然后送入CSA加法器的输入端。
本设计电路由五级保存进位加法器(CSA)和两个串行进位加法器(CPA)构成,实现了保存进位加法器对不同算法的重用,其结构如图5所示。


图5 连加运算优化电路
3.性能评估
以上设计采用VHDL语言描述,在QuartusII 4.2环境下编译综合,选用Altera Cyclone系列器件为目标器件进行整体综合、仿真和底层布局,采用FIPS180-2给出的测试数据进行仿真,采用单个分组和多个分组分别进行测试,均得到正确结果。
在本设计中,当电路执行SHA-1算法时运算一个512bit分组需要82个时钟周期,其中第一个为数据准备周期,第2~81个为运算周期,第82个为移位寄存器的值与HASH值暂存寄存器的值相加并将其结果送入移位寄存器的周期;当执行SHA-224/SHA-256算法时运算一个512bit分组需要66个时钟周期,其中第一个为数据准备周期,第2~65个周期为运算周期,第66为移位寄存器的值与HASH值暂存寄存器的值相加并将其结果送入移位寄存器的周期。该??榈脑怂闼俣瓤梢酝ü旅婀降贸觯?/div>
运算速度=(分组长度/运算耗用的时钟周期数)×系统时钟频率,单位为Mbps
将实现的可重构算法分别下载到Altera Cyclone系列器件后测得的主要性能指标在表2中给出。


本设计的创新点是利用可重构设计思想对SHA-1、SHA-224、SHA-256三种不同算法的可重用??榻锌芍毓辜扑?,通过FPGA实现时既能灵活实现不同算法,又能实现资源的充分利用,节约大量逻辑资源。为进一步说明本设计对FPGA资源利用情况,下面将这三种算法的专用芯片与可重构SHA-1/SHA-224/SHA-256算法芯片的一些参数进行比较,如表3所示。这里要说明的是这三种算法的参数均是采用类似SHA-1/SHA-224/SHA-256的总体电路架构设计得到的。选择的器件均是EP1C20F324C6。


结束语
本文总结了基于FPGA的可重构密码芯片设计方案。该可重构密码芯片是一种创新性的密码芯片,它很好地克服了传统的密码芯片只能实现特定密码算法的弊端,使得密码使用者能够在它上面很方便地选择所需要的密码算法,从而大大提高了密码系统的灵活性。可重构密码芯片可作为构建密码系统的核心部件而广泛应用于保密通信、网络终端加密设备等领域,因此该研究方向具有重要的政治、军事和经济意义。
〈烜芯微/XXW〉专业制造二极管,三极管,MOS管,桥堆等,20年,工厂直销省20%,上万家电路电器生产企业选用,专业的工程师帮您稳定好每一批产品,如果您有遇到什么需要帮助解决的,可以直接联系下方的联系号码或加QQ/微信,由我们的销售经理给您精准的报价以及产品介绍
联系号码:18923864027(同微信)
QQ:709211280
相关阅读