芯片结温(Tj):
结温(Junction Temperature)是芯片中开关MOS管等器件的实际工作温度。芯片内部是由于一堆材料做成的各种微小的元器件,有微小的MOS,二极管,集成电阻,电容等等,它们在经过电流时,也会发热,尤其在一些过大电流的功率芯片的应用中,结温就成了一个必须考虑的参数,超过了就会使这些内部元器件损坏,由于这些内部的结构器件距离芯片外部还有封装隔离,因此它通常高于外壳温度(Case Temperature)高。也就是会高于芯片标定的工作温度。
结温产生机制
结温主要产生在PN结区域。
从PN结制造工艺上,核心原理是根据杂质补偿,通过掺杂获得,如下图, P-type 掺杂和 N-type 掺杂接触后,中间形成一个耗尽区(或者称为空间电荷区,如下图右上);两个的交接线周围形成一个PN结(如下图左上)。


首先,电子空穴的复合也是一个发热是结温的主要热源;复合遵循能量守恒原则,电子和空穴复合时应释放一定的能量,最后在内部都转换为热能。


首先,电子空穴的复合也是一个发热是结温的主要热源;复合遵循能量守恒原则,电子和空穴复合时应释放一定的能量,最后在内部都转换为热能。
复合频率越高产生热越高,随之会加速载流子速率μ,电场E相对不变,复合率和结温形成闭合正反馈,导致结温持续升高。
其次,PN结的工艺也不可能极端完美,电子/空穴的的注入效率达不到100%, 即在工作时除P区向N区注入电荷(Hole)外,N区也会向P区注入电荷(Electron);同样也会导致结温升高。
最后,器件两端的阴极Cathode,阴极Athode 2个的欧姆接触(ohmic contact)会产生热量,两端形成热屏障,阻碍内部的热量更难及时通过热传导方式消散,同样会导致内部结温升高。
所以如果希望保证器件工作正常,务必保证芯片结温在可承受范围内。
芯片结温计算
热阻参数介绍


RθJA 值越大,表示此 封装的散热效率越低,而值越小,表示器件散热效率越高。 封装尺寸越小,RθJA 值通常越大。如上图DCK(SCK70)热阻307.6°C/W,意味着芯片每消耗1W,芯片温度就会升高 307.6°C 。
表中建议的芯片工作结温介于 -55°C 至 150°C 之间。
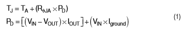
结温计算公式:


其中 TJ 为结温,TA 为环境温度,RθJA 为热阻(取自数据表),PD 为功耗,Iground 为接地电流(取自数据表)。
下面给出一个简单示例,使用 TPS732 将 5.5V 电压下调至 3V,输出电流为 250mA,采用 SOT-23 和 SOT-223 两种封装。
PD=[(5.5V-3V) x 250mA] + (5.5V x 0.95mA) = 0.63W
SOT - 23: TJ = 25°C + (205.9°C/W x 0.63W) = 154.72°C
SOT - 223: TJ = 25°C + (53.1°C/W x 0.63W) = 58.45°C
〈烜芯微/XXW〉专业制造二极管,三极管,MOS管,桥堆等,20年,工厂直销省20%,上万家电路电器生产企业选用,专业的工程师帮您稳定好每一批产品,如果您有遇到什么需要帮助解决的,可以直接联系下方的联系号码或加QQ/微信,由我们的销售经理给您精准的报价以及产品介绍
联系号码:18923864027(同微信)
QQ:709211280