rc充放电时间计算公式
电容充电放电时间计算公式:


RC电路的时间常数:τ=RC
式中,τ为RC充放电时间常数,单位是S;R为电阻,单位是Ω;C为电容,单位是F。
V0 为电容初始电压值;
V1 为电容充满电压值;
Vt 为任意时刻的电压值;
E 为电源电压;
当t= 1RC时,电容电压=0.63V1;
当t= 2RC时,电容电压=0.86V1;
当t= 3RC时,电容电压=0.90V1;
当t= 4RC时,电容电压=0.98V1;
当t= 5RC时,电容电压=0.99V1;
经过3~5个RC后,充电过程基本结束。
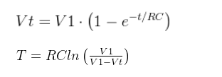
充电(电压为E的电源通过R向初值为0的电容C充电,V0=0,V1=E,故充到t时刻电容上的电压为)


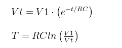
放电(初始电压为E的电容C通过R放电 , V0=E,V1=0,故放到t时刻电容上的电压为)

〈烜芯微/XXW〉专业制造二极管,三极管,MOS管,桥堆等,20年,工厂直销省20%,上万家电路电器生产企业选用,专业的工程师帮您稳定好每一批产品,如果您有遇到什么需要帮助解决的,可以直接联系下方的联系号码或加QQ/微信,由我们的销售经理给您精准的报价以及产品介绍

〈烜芯微/XXW〉专业制造二极管,三极管,MOS管,桥堆等,20年,工厂直销省20%,上万家电路电器生产企业选用,专业的工程师帮您稳定好每一批产品,如果您有遇到什么需要帮助解决的,可以直接联系下方的联系号码或加QQ/微信,由我们的销售经理给您精准的报价以及产品介绍
联系号码:18923864027(同微信)
QQ:709211280