亚阈值斜率
亚阈值斜率S也称亚阈值摆幅,其定义为亚阈值区漏端电流增加一个数量级所需要增大的栅电压,反映了电流从关态到开态的转换陡直度,具体对应于采用半对数坐标的器件转移特性曲线(I-Vos关系)中亚阈值区线段斜率的倒数。






上图为长沟道器件中亚阈值斜率与硅膜厚度的关系??杉惫枘そ虾袷?,器件处于部分耗尽模式,亚阈值斜率与体硅类似,而且随着沟道掺杂浓度的增大而增大。
当硅膜较薄时,器件处于全耗尽模式,由于沟道区与衬底之间的隐埋氧化层隔离,亚阈值斜率接近理想情况(60mV/dec),而且沟道掺杂浓度的增大,亚阈值斜率减小,由于全耗尽器件的耗尽层宽度取决于硅膜厚度,亚阈值斜率对硅膜厚度不太敏感。
亚阈值摆幅是衡量晶体管开启与关断状态之间相互转换速率的性能指标。器件的亚阈特性决定了器件从关态到开态的转换过程,会影响电路的静态电流和转换功耗,在电路应用中十分重要。
MOSFET的亚阈值特性
当MOSFET应用于数字逻辑电路和存储电路时,器件的亚阈值行为就显得特别重要。这是由于亚阈值区描述了器件如何导通和截止,亚阈值斜率s是其中的关键参数。
亚阈值斜率或亚阈摆幅(S,室温下理想值为60mV/dec),它代表MOSFET在亚阈区工作时,输出饱和电流减小10倍时所需要改变的栅-源电压的大小, 也即ID-VG曲线斜率的倒数。
S值越小,器件的开关速度就越快。即S值的大小反映了MOSFET在亚阈区的开关性能。若想减小S值、提高MOSFET的亚阈区工作速度,可采取减小MOS栅极结构中界面态、降低衬底的掺杂浓度、加上一定的衬偏电压(以减小耗尽层电容)以及限制器件温升等措施。
MOS理想的电流-电压特性中,当Vgs<阈值电压Vt时,漏极电流Id为0。
但实际中,当Vgs<Vt时,MOS沟道表面处于弱反型,沟道中存在浓度较低的反型载流子,形成较小的电流,这就是亚阈值电流。
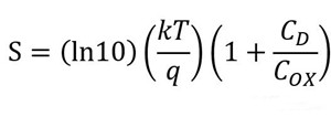
通常用亚阈值摆幅S(亚阈值斜率的倒数)来表征,物理意义是Id降低一个数量级所需改变的栅压。
公式如下:


其中CD为沟道耗尽层电容,Cox为栅氧电容;亚阈值摆幅S主要取决于栅氧厚度和P阱浓度。
〈烜芯微/XXW〉专业制造二极管,三极管,MOS管,桥堆等,20年,工厂直销省20%,上万家电路电器生产企业选用,专业的工程师帮您稳定好每一批产品,如果您有遇到什么需要帮助解决的,可以直接联系下方的联系号码或加QQ/微信,由我们的销售经理给您精准的报价以及产品介绍
联系号码:18923864027(同微信)
QQ:709211280