相较于传统的Si功率器件,SiC MOSFET具有更小的导通电阻,更快的开关速度,使得系统损耗大幅降低,效率提升,体积减小,从而实现变换器的高效高功率密度化,因此广泛适用于5G数据中心通信电源,新能源汽车车载充电机,电机驱动器,工业电源,直流充电桩,光伏,UPS等各类能源变换系统中。
然而这种快速的暂态过程会使SiC MOSFET的开关性能对回路的寄生参数更加敏感,对驱动设计要求更加严格。以分立的SiC MOSFET为例,根据电流不同其dv/dt通??梢源?0~60V/ns。功率回路中高速变化的dv/dt通过寄生电容耦合到驱动回路会使得门极振荡甚至误开通,从而导致桥臂直通,器件损毁。
SiC MOSFET桥臂串扰问题
如图1所示为SiC MOSFET的半桥应用电路,上管QH开通过程会在桥臂中点产生高速变化的dv/dt,下管Vds电压变化通过米勒电容CGD产生位移电流,从而在门极驱动电阻和寄生电感上产生正的电压干扰,当电压干扰使得门极电压超过器件的阈值电压就可能导致原本关断的下管误开通。
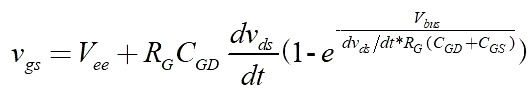
为了分析方便,暂时忽略寄生电感的影响,由此可以得到上管开通过程中下管门极电压为:

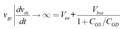
其中RG=Rg_ext+Rg_int ,Vee为关断电压,当dvds/dt趋向无穷大时,门极电压极限值为:

因此,抑制电压串扰的方法有:
(1) 减小门极驱动电阻RG 或者门极寄生电感Lg
(2)有源米勒钳位
(3) 负压关断
(4) 增加栅源电容CGS 或者减小米勒电容CGD

图1 SiC MOSFET桥臂串扰问题
串扰抑制策略
(1) 减小门极驱动电阻通常受限于器件应力水平和dv/dt速度,过小的驱动电阻使得dv/dt过大会加剧米勒电容引入的位移电流也可能导致门极电压尖峰不减小反而增大,因此需要在满足应力的情况下合理选择驱动电阻。减小驱动回路寄生电感需要优化PCB Layout,尽可能减小驱动元件到SiC MOSFET间的距离。
(2) 有源米勒钳位电路如图2所示,对于关断的器件如果门极产生正的电压干扰超过设定阈值Vth(MC),开关管SMC导通,为位移电流提供低阻抗放电回路,从而抑制开通串扰。
但是,钳位回路依然包括器件内部电阻和连接点到MOSFET内寄生电感,当这部分压降较大时,有源钳位的作用会减弱,有可能器件内部仍然发生误开通。因此只有在SiC器件内部电阻较小时才能有不错的抑制效果,采用有源钳位可以起到很好的抑制串扰作用。

图2 有源米勒钳位
(3) 如图3所示,给出了一直关断的下管QL在上管QH开通关断过程中的门极电压波形,可知负压关断的作用相当于把整个门极波形下移了Vee ,使得正的电压尖峰远离器件阈值电压,从而避免了上管开通时下管误开通,但同时使得上管关断时下管负压尖峰增大。SiC MOSFET的允许负压通常不超过-8V,因此需要合理选择负压关断。

图3 零压与负压关断时下管门极波形
(4) 在GS两端并联电容来增大CGS ,可以很好的抑制电压串扰作用,但是会一定层度上减缓开通速度,更严重的是对于并联支路内部寄生电感较大时有可能会增加门极寄生振荡。因此最适合的方法是在器件层面增加栅源电容CGS 或者减小米勒电容CGD。
为了说明器件本身防止误开通抗干扰能力,把dvds/dt趋向无穷大时导致的门极电压变化作为综合评价指标,即ΔVgs=ΔVds*CGD/(CGD+CGS), ΔVgs越小,意味着门极误开通风险更小,抗干扰能力更强。
〈烜芯微/XXW〉专业制造二极管,三极管,MOS管,桥堆等,20年,工厂直销省20%,上万家电路电器生产企业选用,专业的工程师帮您稳定好每一批产品,如果您有遇到什么需要帮助解决的,可以直接联系下方的联系号码或加QQ/微信,由我们的销售经理给您精准的报价以及产品介绍
联系号码:18923864027(同微信)
QQ:709211280