在一些大电流的MOS管应用电路中,功耗越大,意味着发热越多,器件温升就越高,这对于电路的稳定工作而言是个威胁,今天我们就来讲一下MOS管驱动电路功率损耗的计算方法;
主要包含三部分,一部分是MOS导通电阻造成的功率损耗(传导损耗),另外一部分是MOS在ON和OFF时产生的开关损耗,还有就是驱动器产生的损耗。

功率损耗计算
1.传导损耗
所有的MOS管导通后都存在导通内阻,当电流流过之后就会产生功率损耗,一般用RDS(ON)来表示,传导损耗一般来说和MOS的大小成反比,体积越大,其导通电阻一般能做的更小。
传导损耗的计算如下,简单来说就是流经MOS管的电流与MOS管DS之间的压降的乘积。

需要注意的一点是RDS(ON)的值会受温度影响,温度越高,其值越大,所以我们在评估传导损耗时,还需要把温度考虑在内;

2.栅极充电损耗
每当MOS开通或者关闭时,其栅源米勒寄生电容就会发生充放电,所以开关损耗和开关频率以及寄生电容的大小有关,一般来说寄生电容和MOS大小成正比,体积越大,其寄生电容一般越大,所以虽然传导损耗低了,但是开关损耗却高了。
栅极充电损耗的计算等于栅极驱动电压乘以栅极驱动电流,由于栅极驱动是开关模式,我们已知了栅极寄生电荷,根据Q=I*t=I/f,可以反向计算出栅极驱动的平均电流,从而计算出栅极充电的功率损耗。

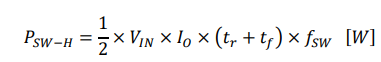
3.开关损耗
由于MOS管开通或者关断时,其电压并不会立马升高到电源电压或者降低到0V,存在一定的斜率,因此在这个过程中会存在开关损耗,其计算方法如下;
其中Vin表示输入电压,Io表示输出电流,tr表示MOS管开通时,输出电压从0V升高至电源电压的时间,tf表示MOS管关断时,输出电压从电源电压降低至0V的时间,fsw表示开关的频率。

〈烜芯微/XXW〉专业制造二极管,三极管,MOS管,桥堆等,20年,工厂直销省20%,上万家电路电器生产企业选用,专业的工程师帮您稳定好每一批产品,如果您有遇到什么需要帮助解决的,可以直接联系下方的联系号码或加QQ/微信,由我们的销售经理给您精准的报价以及产品介绍
联系号码:18923864027(同微信)
QQ:709211280