过驱动电压Veff/Vod定义
Veff=VGS-VTH,表示过驱动电压。
表示的是栅源电压-阈值电压。其实是一个变值,会随VGS电压变化而变化,也会受VTH的影响(体效应),其实是我们设计过程中可能会经常出现的一个名词,经?;嵘杓埔桓霰冉瞎潭ǖ墓缪埂?/div>
另外,过驱动电压也可以表示称为Vod,直观的表示就是over drive voltage。
下面通过对过驱动电压Vod的变化情况,来看下NMOS的工作区:
1、VGS>VTH,且VDS<Veff:
MOS管工作在线性区(三极管区),此时的电流是:


2、VGS>VTH,且VDS>Veff ( VDS>VGS-VTH ----> VGD<VTH ):
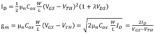
MOS管工作在饱和区,此时的电流是:


如果考虑沟道长度调制效应的话是:


注意:ID描述的电流方向是从D端流向MOS管的。
下面是PMOS的工作区描述:
1、|VGS|>|VTH|,且|VDS|<|Veff|:
PMOS工作在线性区(三极管区),此时的电流是:


2、|VGS|>|VTH|,且|VDS|>|Veff|:
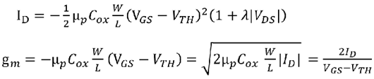
PMOS工作在饱和区,此时的电流是:


如果考虑沟道长度调制的话是:

〈烜芯微/XXW〉专业制造二极管,三极管,MOS管,桥堆等,20年,工厂直销省20%,上万家电路电器生产企业选用,专业的工程师帮您稳定好每一批产品,如果您有遇到什么需要帮助解决的,可以直接联系下方的联系号码或加QQ/微信,由我们的销售经理给您精准的报价以及产品介绍

〈烜芯微/XXW〉专业制造二极管,三极管,MOS管,桥堆等,20年,工厂直销省20%,上万家电路电器生产企业选用,专业的工程师帮您稳定好每一批产品,如果您有遇到什么需要帮助解决的,可以直接联系下方的联系号码或加QQ/微信,由我们的销售经理给您精准的报价以及产品介绍
联系号码:18923864027(同微信)
QQ:709211280
- 上一篇:过驱动电压对电路失配有什么影响
- 下一篇:电路设计,低电压控制高电压解析
相关阅读