在《IGBT以及MOSFET的驱动参数的计算方法》该应用指南中由 Eq.6 得到了门极电流 i(t)i(t) 不振荡的阻尼条件 Eq.7,并以此得出了电流波形不振荡的最小门极电阻的计算公式。
然而,该应用指南并未讲述如何推导出 Eq.7,故写此文列出推导过程,如下:
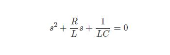
由 Eq.6 可知串联 RLC 电路的特征方程为:

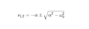
特征根为:

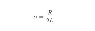
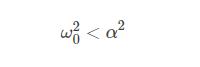
奈培频率为:

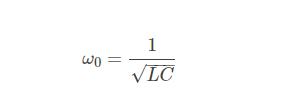
谐振频率为:

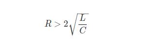
为了保证门极电流 i(t) 不振荡,则电流响应应为过阻尼,既有:

综上所述,可得:

至此,Eq.7 得证。
〈烜芯微/XXW〉专业制造二极管,三极管,MOS管,桥堆等,20年,工厂直销省20%,上万家电路电器生产企业选用,专业的工程师帮您稳定好每一批产品,如果您有遇到什么需要帮助解决的,可以直接联系下方的联系号码或加QQ/微信,由我们的销售经理给您精准的报价以及产品介绍
联系号码:18923864027(同微信)
QQ:709211280