负反馈放大电路
负反馈放大电路是指引入了交流负反馈的放大电路。交流负反馈能够稳定放大电路的信号输出。因为负反馈的基本作用就是将引回的反馈量与输出量相减,从而调整电路的净输入量和输出量。
交流负反馈的四种方式:电压串联、电压并联、电流串联、电流并联。从输出端观察,反馈量是想要稳定输出电压还是想稳定输出电流。从输入端观察,反馈的结果是减小净输入电压还是净输入电流。反馈量若取自输出电压则称为电压反馈,若取自输出电流则称为电流反馈。反馈量与输入量若以电压方式相叠加,则为串联反馈,若以电流方式叠加,则是并联反馈。
负反馈放大电路的计算
深度负反馈放大电路的近似估算
只有放大电路满足了深度负反馈这个条件,我们才可以用近似计算法来估算电路的放大倍数。这一点是我们学习的重点。即:(1+AF)>>1时,可以对放大倍数进行估算。
当(1+AF)>>1时,则 Af=A/(1+AF)≈A/AF=1/F 由此可见,引入负反馈后,放大电路的放大倍数仅取决于反馈系数F,与基本放大电路的放大倍数基本无关。
我们根据Af和F的定义: Af=XO/Xi F=Xf/XO
可得到如下近似关系: Xi≈Xf 即:在深度负反馈时,输入量等于反馈量,净输入量为零。
(1)对于串联负反馈 Uf≈Ui Ui'≈0
从此式找出输出电压输出电压Uo与输入电压Ui的关系,从而估算出电压的放大倍数Auf
(2)对于并联负反馈 If≈Ii Ii'≈0
从此式找出Uo和Ui的关系,估算出Auf
负反馈估算方法
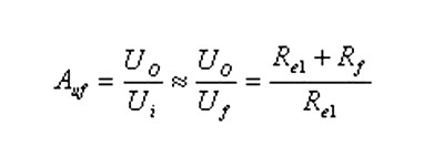
我们以串联电压负反馈放大电路为例:
如图(1)所示电路为串联电压负反馈放大电路,试分析其电压放大倍数

由于是串联电压负反馈,故Ui≈Uf。
输出电压Uo经Rf和Re1分压后反馈到输入回路。
即:

则:

由于输出电压与输入电压的相位一致,故电压的放大倍数为正值。
注:当放大电路不满足深反馈时,不能用此方法求解电压的放大倍数。
〈烜芯微/XXW〉专业制造二极管,三极管,MOS管,桥堆等,20年,工厂直销省20%,上万家电路电器生产企业选用,专业的工程师帮您稳定好每一批产品,如果您有遇到什么需要帮助解决的,可以直接联系下方的联系号码或加QQ/微信,由我们的销售经理给您精准的报价以及产品介绍
联系号码:18923864027(同微信)
QQ:709211280