两级电流并联负反馈放大电路
图(a)是两级电流并联负反馈电路,图(c)是它的交流等效电路方框图。

1、反馈类型的判断
(1)找反馈元件。由图可见,R f、Re2是联系输出回路和输入回路的元件,故为反馈元件,由它们组成反馈网络。
(2)判断是电压反馈还是电流反馈。因反馈信号取自非电压输出端,故为电流反馈。
(3)判断是串联反馈还是并联反馈。因反馈信号引至共射电路的基极,故为并联反馈。
(4)判断反馈极性。假定Ui为 +(对地),经两级共射电路放大后Ue2为 - ,则通过Rf的电流I f的方向如图(c)中所示,它对Ii起了分流作用,从而使有效输入信号减弱,故为负反馈。
综上判断结果,该电路为电流并联负反馈放大电路。
2、反馈对输出电量的稳定作用
当Ii一定,由于某种原因(如β或RL变化)引起输出电流发生变化时,则通过反馈网络R f、Re2的作用将产生如下自动调节过程:
β2 ↑→Io(Ie2)↑→I f↑→ Ib↓→ Io↓
其效果使输出电流趋于稳定。
可见,电流负反馈能够稳定输出电流。
3、信号源内阻对并联反馈效果的影响
对并联负反馈,有Ib = Ii - I f,若信号源内阻 RS = ∞,则Ii恒定,I f的增加量全部转化为Ib的减小量,反馈效果最强;若RS较小,则随着I f 的增加,Ii 也有所增加,Ib 的减小量被缩减,负反馈效果减弱。因此,并联负反馈适用于信号源内阻RS大的场合。
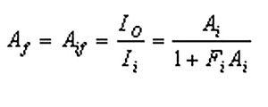
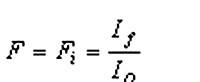
4、放大倍数和反馈系数的含义
电流并联负反馈电路中,XI 、 Xo 、Xf 等均为电流量,故:


AIf、FI分别称为闭环电流放大倍数和电流反馈系数。
〈烜芯微/XXW〉专业制造二极管,三极管,MOS管,桥堆等,20年,工厂直销省20%,上万家电路电器生产企业选用,专业的工程师帮您稳定好每一批产品,如果您有遇到什么需要帮助解决的,可以直接联系下方的联系号码或加QQ/微信,由我们的销售经理给您精准的报价以及产品介绍
联系号码:18923864027(同微信)
QQ:709211280