CMOS反相器的开关阈值Vm定义为当输入电压与输出电压相等时的电压值,即图1红点处

图1 CMOS反相器的电压传输特性(VTC)曲线

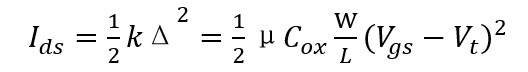
图2 静态CMOS反相器晶体管级电路
对流过PMOS与NMOS的电流列方程就可求出Vm,而流过MOS管的电流受MOS管的工作区域的影响,下面是对MOS的工作区域的简单介绍:
MOS管的导通条件是|Vgs| > |Vt|,决定其饱和导通还是线性导通需要考虑漏源电压:
当|Vds| < |Vgs - Vt|时,MOS管线性导通,漏电流为:

k=μCox(W/L)为工艺参数,Δ=Vgs - Vt为过驱动电压
当|Vds| > |Vgs - Vt|时,MOS管饱和导通,漏电流为:

对于短沟道器件来说,|Vds|增大到一定程度会出现载流子漂移速度饱和,此时的饱和漏电流的表达式为:

Vdsat为饱和漏极电压
接下来分析CMOS反相器中PMOS与NMOS在Vin=Vout=Vm时的工作区域:
Ⅰ. PMOS:
|Vgsp| = |Vm-Vdd| > |Vtp| 且 |Vdsp| = |Vm-Vdd| = |Vgsp| >|Vgsp-Vtp|,故PMOS饱和导通
Ⅱ. NMOS:
Vgsn = Vm > Vtn 且 Vdsn = Vm = Vgsn >Vgsn-Vtn,故NMOS饱和导通
PMOS与NMOS都处于饱和导通,电流由Vdd流向地,流经PMOS的电流为-Idsp,流经NMOS的电流为Idsn,所以Idsp+Idsn=0...式①
现如今的半导体器件大多是纳米级别的,属于短沟道器件,所以在求解Vm时使用速度饱和漏电流公式,联立式①与MOS管的饱和漏电流公式得:

式②,k为工艺参数, Vdsat为饱和漏极电流
解得

注:Vdsat是漏极饱和电压,vdsat是载流子的漂移饱和速度
由式②亦可解得在给定Vm的条件下PMOS与NMOS的宽长比之比:

在设计CMOS反相器时,将想要得到的Vm值代入式③可算得PMOS与NMOS的宽长比之比。
注:选择的Vm值要使NMOS与PMOS同时处于速度饱和才可使用式③
〈烜芯微/XXW〉专业制造二极管,三极管,MOS管,桥堆等,20年,工厂直销省20%,上万家电路电器生产企业选用,专业的工程师帮您稳定好每一批产品,如果您有遇到什么需要帮助解决的,可以直接联系下方的联系号码或加QQ/微信,由我们的销售经理给您精准的报价以及产品介绍
联系号码:18923864027(同微信)
QQ:709211280