电压比较器它可用作模拟电路和数字电路的接口,还可以用作波形产生和变换电路等。利用简单电压比较器可将正弦波变为同频率的方波或矩形波。电压比较器输入是线性量,而输出是开关(高低电平)量。它将一个模拟量电压信号和一个参考固定电压相比较,在二者幅度相等的附近,输出电压将产生跃变,相应输出高电平或低电平。比较器可以组成非正弦波形变换电路及应用于模拟与数字信号转换等领域。一般应用中,有时也可以用线性运算放大器,在不加负反馈的情况下,构成电压比较器来使用。
运算放大器构成的电压比较器
集成运算放大器除了能对各种模拟信号进行运算外,还可以对信号进行处理,如作有源滤波器和电压比较器等。
运算放大器作电压比较器时,工作在饱和区。下面公式中的Uo max和Uo min分别为uo的最大值和最小值(即正负饱和输出电压+Uo(sat)和-Uo(sat))。
1、简单比较器
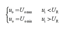
(1)反相输入

图1 简单比较器(反相输入)电路图 图2 简单比较器(反相输入)传输特性
比较器的输入信号ui接运放的反相输入端,参考电压UR接运放的同相输入端,有

(2) 同相输入

图3 简单比较器(同相输入)电路图 图4 简单比较器(同相输入)传输特性
比较器的输入信号ui接运放的同相输入端,参考电压UR接运放的反相输入端,有

若简单比较器的参考电压为零,则称为过零比较器。
2、滞回比较器
在简单比较器的基础上引入正反馈,即得滞回比较器。
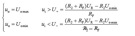
(1) 反相输入

图5 滞回比较器(反相输入)电路图 图6 滞回比较器(反相输入)传输特性
比较器的输入信号ui接运放的反相输入端,参考电压UR接运放的同相输入端,有

回差为

(2) 同相输入
比较器的输入信号ui接运放的同相输入端,参考电压UR接运放的反相输入端,有

回差为

〈烜芯微/XXW〉专业制造二极管,三极管,MOS管,桥堆等,20年,工厂直销省20%,上万家电路电器生产企业选用,专业的工程师帮您稳定好每一批产品,如果您有遇到什么需要帮助解决的,可以直接联系下方的联系号码或加QQ/微信,由我们的销售经理给您精准的报价以及产品介绍
联系号码:18923864027(同微信)
QQ:709211280