作为放大器,其最重要的功能就是在大信号的支持下且保证一定精度时强调对小信号的增益。本文介绍一个公式(未必完全通用,但一定满足本文介绍的四种放大器)并加以验证来加深对于小信号增益的理解。
通用公式

首先我们知道,对于一个MOS管而言,其本征增益为Avs=?gm?ro,其中,gm,ro分别为MOS管本身的跨导和沟道电阻(自身输出电阻)。对于小信号而言,负载电阻一定与空载电阻并联,以至于带载电阻一定不大于空载电阻。
这就导致了一个必然结果,任何共源级电路的小信号的增益一定不大于MOS管的本征增益,且仅当负载的电阻为∞时,空载输出电阻与带载输出电阻相同,才能达到本征增益。

左图中我们可以看到NMOS无体效应,且以电阻为负载,右图是该电路的小信号电路,考虑了沟长调制效应。
我们可以看到,该电路中空载输出电阻是ro,带了负载RD时,输出电阻为RD//ro,故该电路的小信号增益为

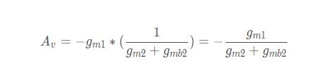
3、二极管连接MOS管为负载

二极管连接的MOS管的优势是小信号的增益的高线性度,

在我们忽略掉沟道电阻之后

由于体跨导是输出电压的函数,故而为信号增益带来了非线性。一般用二极管连接的PMOS负载来消除体效应。
4、带源级负反馈的共源级

改善增益非线性的另一种方法就是提供源级负反馈电阻,从公式的角度来看,加入负反馈,并不影响电路的负载电阻,但同时影响了空载电阻和总电阻。上图中忽略了体效应和沟长调制效应。在计算中,我们自行添加。对于输出电阻的计算方法在此不再赘述。

〈烜芯微/XXW〉专业制造二极管,三极管,MOS管,桥堆等,20年,工厂直销省20%,上万家电路电器生产企业选用,专业的工程师帮您稳定好每一批产品,如果您有遇到什么需要帮助解决的,可以直接联系下方的联系号码或加QQ/微信,由我们的销售经理给您精准的报价以及产品介绍
联系号码:18923864027(同微信)
QQ:709211280