一、MOS管平方关系模型
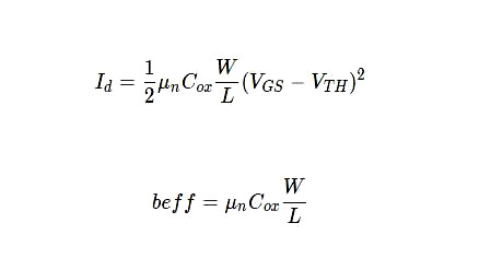
MOS管沟道饱和区电流ID(不考虑非理想效应)

二、如何进行仿真得到手算参数
首先在原理图中放上器件,以NMOS为例子,同时分别设置好NMOS沟道长度和宽度,还有将对应器件电压也设置成变量,设成变量方面后面仿真条件下修改参数。



关注的参数
需要关注的参数是beff和betaeff,其中beff就是平方率关系对应的理想参数(完全不考虑沟道调制效应等,是可以计算过后发现,用得到的阈值电压还有Id算出来完全符合平方率关系对应的理想值),betaeff是修正的跨导模型参数,毕竟现在模型不是以前的那种简单模型了。
MOS管沟道饱和区电流ID

〈烜芯微/XXW〉专业制造二极管,三极管,MOS管,桥堆等,20年,工厂直销省20%,上万家电路电器生产企业选用,专业的工程师帮您稳定好每一批产品,如果您有遇到什么需要帮助解决的,可以直接联系下方的联系号码或加QQ/微信,由我们的销售经理给您精准的报价以及产品介绍
联系号码:18923864027(同微信)
QQ:709211280