MOSFET fT频率分析
MOSFET的电流增益特征频率fT,用于表征MOSFET的电流放大的最高工作频率。

fT定义
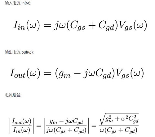
在MOS源极和漏极接交流地时,器件的小信号电流增益降至1的频率称为:“transit frequency”(fT)
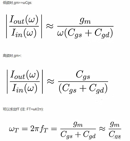
fT计算
MOS的小信号模型如下:




影响因素:
1) 增大Vgs可以增大FT
2) 减小沟道L会增大FT,所以使用工艺尺寸更小的MOS管,可以获得更高的工作频率。
3) 增大偏置电流可以增大FT(FT:∝电流的平方根)

4) FT随着过驱动电压而增加,但随着垂直电场增强到一定程度,会导致迁移率明显逐渐减小,而使FT-Vod曲线变平,不再是线性直线。
〈烜芯微/XXW〉专业制造二极管,三极管,MOS管,桥堆等,20年,工厂直销省20%,上万家电路电器生产企业选用,专业的工程师帮您稳定好每一批产品,如果您有遇到什么需要帮助解决的,可以直接联系下方的联系号码或加QQ/微信,由我们的销售经理给您精准的报价以及产品介绍
联系号码:18923864027(同微信)
QQ:709211280