射极跟随器电路
共集电极放大电路射极输出器、射极跟随器

图1 射极输出器电路
一、 静态分析

二、动态分析

图2 微变等效电路

图3 微变等效电路
1. 电流放大倍数:(忽略Rb的分流

结 论:

2)输入输出同相,输出电压跟随输入电压,故称电压跟随器。
3. 输入电阻

图5 输入电路图

输入电阻较大,作为前一级的负载,对前一级的放大倍数影响较小。
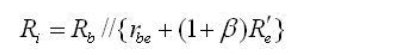
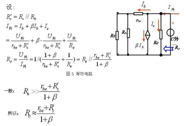
4. 输出电阻
用加压 求流法求输出电阻。

图5 等效电路
三极管 射极跟随器电路
射极输出器的输出电阻很小,带负载能力强。
射极输出器特点:
电压增益小于近似等于1,输出电压与输入电压同 相,输入电阻高,输出电阻低。
射极输出器的使用
1、将射极输出器放在电路的首级,可以提高输入电阻。
2、将射极输出器放在电路的 末级,可以降 低输出电阻,提高带负载能力。
3、将射极输出器放在电路的两级之间,可以起到电路的匹配作用。
例:
估算静态工作 点,计算电流放大倍数、电压放大倍数和输入、输出电阻。

图6 例图电路
可见:输入电阻很大,输出电阻很小。
〈烜芯微〉专业制造二极管,三极管,MOS管,桥堆等20年,工厂直销省20%,上万家电路电器生产企业选用,专业的工程师帮您稳定好每一批产品,如果您有遇到什么需要帮助解决的,可以点击右边的工程师,或者点击销售经理给您精准的报价以及产品介绍
电话:18923864027(同微信)
QQ:709211280〈烜芯微〉专业制造二极管,三极管,MOS管,桥堆等20年,工厂直销省20%,上万家电路电器生产企业选用,专业的工程师帮您稳定好每一批产品,如果您有遇到什么需要帮助解决的,可以点击右边的工程师,或者点击销售经理给您精准的报价以及产品介绍