1、双端输入单端输出电路
电路如右图所示,为双端输入、单端输出差分放大电路。由于电路参数不对称,影响了静态工作点和动态参数。
直流分析:
画出其直流通路如右下图所示,图中和是利用戴维宁定理进行变换得出的等效电源和电阻,其表达式分别为:



交流分析:
在差模信号作用时,负载电阻仅取得T1管集电极电位的变化量,所以与双端输出电路相比,其差模放大倍数的数值减小。
如右下图所示为差模信号的等效电路。在差模信号作用时,由于T1管与T2管中电流大小相等方向相反,所以发射极相当于接地。
输出电压:

一半。如果输入差模信号极性不变,而输出信号取自T2管的集电极,则输出与输入同相。
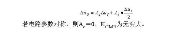
当输入共模信号时,由于两边电路的输入信号大小相等极性相同。与输出电压相关的T1管一边电路对共模信号的等效电路如下:

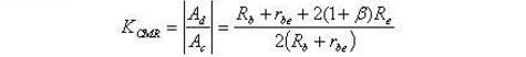
共模抑制比:

结论:Re愈大,Ac的值愈小,Kcmr愈大,电路的性能愈好。
2、单端输入、双端输出电路
如下图(a)所示为单端输入、双端输出电路。电路对于差模信号是通过发射极相连的方式将T,管的发射极电流传递到T,管的发射极的,故称这种电路为射极耦合电路。
如图(b)所示将输入信号进行等效变换,可看出,两输入端分别输入了差模信号和共模信号。

可见,单端输入电路与双端输入电路的区别在于:差模信号输入的同时,伴随着共模信号输入。
输出电压

静态工作点以及动态参数的分析完全与双端输入、双端输出相同。
3、单端输入、单端输出电路
如右图所示为单端输入、单端输出电路,该电路对静态工作点、差模增益、共模增益、输入与输出电阻的分析与单端输出电路相同。对输入信号的作用分析与单端输入电路相同。

电话:18923864027(同微信)
〈烜芯微〉专业制造二极管,三极管,MOS管,桥堆等20年,工厂直销省20%,上万家电路电器生产企业选用,专业的工程师帮您稳定好每一批产品,如果您有遇到什么需要帮助解决的,可以点击右边的工程师,或者点击销售经理给您精准的报价以及产品介绍