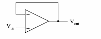
运放的电压追随电路,如图1所示,利用虚短、虚断,一眼看上去简单明了,没有什么太多内容需要注意,那你可能就大错特错了。理解好运放的电压追随电路,对于理解运放同相、反相、差分、以及各种各样的运放的电路,都有很大的帮助。


图1 运放电压追随电路
电压追随电路分析
如果我们连接运放的输出到它的反相输入端,然后在同相输入端施加一个电压信号,我们会发现运放的输出电压会很好的追随着输入电压。
假设初始状态运放的输入、输出电压都为0V,然后当Vin从0V开始增加的时候,Vout也会增加,而且是往正电压的方向增加。这是因为假设Vin突然增大,Vout还没有响应依然是0V的时候,Ve=Vin-Vout是大于0的,所以乘上运放的开环增益,Vout=Ve*A,使得运放的输出Vout开始往正电压的方向增加。
当随着Vout增加的时候,输出电压被反馈回到反相输入端,然后会减小运放两个输入端之间的压差,也就是Ve会减小,在同样的开环增益的情况下,Vout自然会降低。最终的结果就是,无论输入是多大的输入电压(当然是在运放的输入电压范围内),运放始终会输出一个十分接近Vin的电压,但是这个输出电压Vout是刚好低于Vin的,以保证的运放两个输入端之间有足够的电压差Ve,来维持运放的输出,也就是Vout=Ve*A。
运放电路中的负反馈
这个电路很快就会达到一个稳定状态,输出电压的幅值会很准确的维持运放两个输入端之间的压差,这个压差Ve反过来会产生准确的运放输出电压的幅值。将运放的输出与运放的反相输入端连接起来,这样的方式被称为负反馈,这是使系统达到自稳定的关键。这不仅仅适用于运放,同样适用于任何常见的动态系统。这种稳定使得运放具备工作在线性模式的能力,而不是仅仅处于饱和的状态,全“开”或者全“关”,就像它被用于没有任何负反馈的比较器一样。
由于运放的增益很高,在运放反相输入端维持的电压几乎与Vin相等。举例来说,一个运放的开环增益为200 000。如果Vin等于6V,这时输出电压会是5.999 970 000 149 999V。这在运放的输入端产生了足够的电压差Ve=6V-5.999 970 000 149 999V=29.999 85uV,这个电压会被放大然后在输出端产生幅值为5.999 970 000 149 999V的电压,从而这个系统会稳定在这里。正如你所见,29.999 85uV是一个很小的电压,因此对于实际计算来说,我们可以认为由负反馈维持的运放两个输入端之间的压差Ve=0V,整个过程如图2所示。这也就是我们熟悉的“虚短”,而由于运放的两个输入端之间的阻抗是很大的,自然也就有了“虚断”。下面的电路具有稳定的1倍的闭环增益,输出电压会简单的追随输入电压。


图2 负反馈的作用
使用负反馈的一个很大的优势是,我们不用去关心运放的实际电压增益,只要它足够大就可以。如果运放的电压增益不是200 0000而是250 000,这会使得运放的输出电压会更接近Vin一些,更小的输入端之间的电压差用来产生需要的输出电压。在图2示意的电路中,输出电压同样会等于运放反相输入端上的输入电压。因此,对于电路设计工程师来说,为了实现放大电路的稳定的闭环增益,运放的开环增益没有必要是一个精确的值,负反馈会使得系统自我调整。
使用负反馈会改善线性度、增益稳定、输出阻抗、增益的精度,但使用负反馈同样也会带来一个严重的问题,那就是降低系统的稳定性,而对于单位增益的电压追随电路来说,这是一种最坏的情况,尤其是在驱动容性负载的情况下,感兴趣的同学可以自己去查阅相关的资料。
关于运放电路,很多时候我们都被灌输反相端追随同相端,就像前面所说的那样,难道就不能同相端追随反相端吗?
对于今天讲的电压追随电路来说,只能是反相端追随同相端。这里因为如果在反相端施加一个正的输入电压,将输出连接到同相端,同样假设输出为0,那Ve会是一个负的电压,乘以运放的开环增益,那输出会是一个负的电压,返回到运放的同相输入端,会进一步得到一个绝对值更大的负电压差。很快运放的输出就会达到饱和,自然也就无法实现同相端追随反相端。
但对于运放来说,如果在反相端施加参考电压,配合其它电子元器件,如三极管、MOS等,使得运放的整体环路形成负反馈,同样也能使同相端追随反相端,而这也自然打破了我们熟悉的运放的反相端追随同相端的规律。
运放的电压追随电路,”虚短”、“虚断”是表面,而负反馈才是根?;谡飧龈?,可以很好的帮助我们去理解千变万化的运放电路。
烜芯微专业制造二极管,三极管,MOS管,桥堆等20年,工厂直销省20%,上万家电路电器生产企业选用,专业的工程师帮您稳定好每一批产品,如果您有遇到什么需要帮助解决的,可以点击右边的工程师,或者点击销售经理给您精准的报价以及产品介绍
烜芯微专业制造二极管,三极管,MOS管,桥堆等20年,工厂直销省20%,上万家电路电器生产企业选用,专业的工程师帮您稳定好每一批产品,如果您有遇到什么需要帮助解决的,可以点击右边的工程师,或者点击销售经理给您精准的报价以及产品介绍