1、晶闸管(SCR)
晶体闸流管简称晶闸管,也称为可控硅整流元件(SCR),是由三个PN结构成的一种大功率半导体器件。在性能上,晶闸管不仅具有单向导电性,而且还具有比硅整流元件更为可贵的可控性,它只有导通和关断两种状态。
晶闸管的优点很多,例如:以小功率控制大功率,功率放大倍数高达几十万倍;反应极快,在微秒级内开通、关断;无触点运行,无火花、无噪声;效率高,成本低等。因此,特别是在大功率UPS供电系统中,晶闸管在整流电路、静态旁路开关、无触点输出开关等电路中得到广泛的应用。
晶闸管的弱点:静态及动态的过载能力较差,容易受干扰而误导通。
晶闸管从外形上分类主要有:螺栓形、平板形和平底形。
2、普通晶闸管的结构和工作原理
晶闸管是PNPN四层三端器件,共有三个PN结。分析原理时,可以把它看作是由一个PNP管和一个NPN管所组成,其等效图解如图1(a)所示,图1(b)为晶闸管的电路符号。


图1 晶闸管等效图解图
2.1、晶闸管的工作过程
晶闸管是四层三端器件,它有J1、J2、J3三个PN结,可以把它中间的NP分成两部分,构成一个PNP型三极管和一个NPN型三极管的复合管。
当晶闸管承受正向阳极电压时,为使晶闸管导通,必须使承受反向电压的PN结J2失去阻挡作用。每个晶体管的集电极电流同时就是另一个晶体管的基极电流。因此是两个互相复合的晶体管电路,当有足够的门极电流Ig流入时,就会形成强烈的正反馈,造成两晶体管饱和导通。
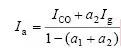
设PNP管和NPN管的集电极电流分别为IC1和IC2,发射极电流相应为Ia和Ik,电流放大系数相应为α1=IC1/Ia和α2=IC2/Ik,设流过J2结的反相漏电流为ICO,晶闸管的阳极电流等于两管的集电极电流和漏电流的总和:
Ia=IC1+IC2+ICO
=α1Ia+α2Ik+ICO (1)
若门极电流为Ig,则晶闸管阴极电流为:Ik=Ia+Ig。
因此,可以得出晶闸管阳极电流为:


(2)硅PNP管和硅NPN管相应的电流放大系数α1和α2随其发射极电流的改变而急剧变化。当晶闸管承受正向阳极电压,而门极未接受电压的情况下,式(1)中Ig=0,(α1+α2)很小,故晶闸管的阳极电流Ia≈ICO,晶闸管处于正向阻断状态;当晶闸管在正向门极电压下,从门极G流入电流Ig,由于足够大的Ig流经NPN管的发射结,从而提高放大系数α2,产生足够大的集电极电流IC2流过PNP管的发射结,并提高了PNP管的电流放大系数α1,产生更大的集电极电流IC1流经NPN管的发射结,这样强烈的正反馈过程迅速进行。
当α1和α2随发射极电流增加而使得(α1+α2)≈1时,式(1)中的分母1-(α1+α2)≈0,因此提高了晶闸管的阳极电流Ia。这时,流过晶闸管的电流完全由主回路的电压和回路电阻决定,晶闸管已处于正向导通状态。晶闸管导通后,式(1)中1-(α1+α2)≈0,即使此时门极电流Ig=0,晶闸管仍能保持原来的阳极电流Ia而继续导通,门极已失去作用。在晶闸管导通后,如果不断地减小电源电压或增大回路电阻,使阳极电流Ia减小到维持电流IH以下时,由于α1和α2迅速下降,晶闸管恢复到阻断状态。
2.2、晶闸管的工作条件
由于晶闸管只有导通和关断两种工作状态,所以它具有开关特性,这种特性需要一定的条件才能转化,此条件见表1。


表1 晶闸管导通和关断条件
(1)晶闸管承受反向阳极电压时,无论门极承受何种电压,晶闸管都处于关断状态。
(2)晶闸管承受正向阳极电压时,仅在门极承受正向电压的情况下晶闸管才导通。
(3)晶闸管在导通情况下,只要有一定的正向阳极电压,无论门极电压如何,晶闸管保持导通,即晶闸管导通后,门极失去作用。
(4)晶闸管在导通情况下,当主回路电压(或电流)减小到接近于零时,晶闸管关断。
3、晶闸管的伏安特性和主要参数
3.1、晶闸管的伏安特性
晶闸管阳极A与阴极K之间的电压与晶闸管阳极电流之间关系称为晶闸管伏安特性,如图2所所示。正向特性位于第一象限,反向特性位于第三象限。


图2 晶闸管伏安特性参数示意图
(1) 反向特性
当门极G开路,阳极加上反向电压时(见图3),J2结正偏,但J1、J2结反偏。此时只能流过很小的反向饱和电流,当电压进一步提高到J1结的雪崩击穿电压后,同时J3结也击穿,电流迅速增加,如图2的特性曲线OR段开始弯曲,弯曲处的电压URO称为“反向转折电压”。此后,晶闸管会发生永久性反向击穿。


图3 阳极加反向电压


图4 阳极加正向电压
(2) 正向特性
当门极G开路,阳极A加上正向电压时(见图4),J1、J3结正偏,但J2结反偏,这与普通PN结的反向特性相似,也只能流过很小电流,这叫正向阻断状态,当电压增加,如图2的特性曲线OA段开始弯曲,弯曲处的电压UBO称为“正向转折电压”。
由于电压升高到J2结的雪崩击穿电压后,J2结发生雪崩倍增效应,在结区产生大量的电子和空穴,电子进入N1区,空穴进入P2区。进入N1区的电子与由P1区通过J1结注入N1区的空穴复合。同样,进入P2区的空穴与由N2区通过J3结注入P2区的电子复合,雪崩击穿后,进入N1区的电子与进入P2区的空穴各自不能全部复合掉。这样,在N1区就有电子积累,在P2区就有空穴积累,结果使P2区的电位升高,N1区的电位下降,J2结变成正偏,只要电流稍有增加,电压便迅速下降,出现所谓负阻特性,见图2中的虚线AB段。这时J1、J2、J3三个结均处于正偏,晶闸管便进入正向导电状态——通态,此时,它的特性与普通的PN结正向特性相似,如图2的BC段。
(3) 触发导通
在门极G上加入正向电压时(如图5所示),因J3正偏,P2区的空穴进入N2区,N2区的电子进入P2区,形成触发电流IGT。在晶闸管的内部正反馈作用(如图2)的基础上,加上IGT的作用,使晶闸管提前导通,导致图2中的伏安特性OA段左移,IGT越大,特性左移越快。


图5 阳极和门极均加正向电压
3.2、晶闸管的主要参数
(1)断态重复峰值电压UDRM
门极开路,重复率为每秒50次,每次持续时间不大于10ms的断态最大脉冲电压,UDRM=90%UDSM,UDSM为断态不重复峰值电压。UDSM应比UBO小,所留的裕量由生产厂家决定。
(2)反向重复峰值电压URRM
其定义同UDRM相似,URRM=90%URSM,URSM为反向不重复峰值电压。
(3)额定电压
选UDRM和URRM中较小的值作为额定电压,选用时额定电压应为正常工作峰值电压的2~3倍,应能承受经常出现的过电压。
烜芯微专业制造二极管,三极管,MOS管,桥堆等20年,工厂直销省20%,上万家电路电器生产企业选用,专业的工程师帮您稳定好每一批产品,如果您有遇到什么需要帮助解决的,可以点击右边的工程师,或者点击销售经理给您精准的报价以及产品介绍
烜芯微专业制造二极管,三极管,MOS管,桥堆等20年,工厂直销省20%,上万家电路电器生产企业选用,专业的工程师帮您稳定好每一批产品,如果您有遇到什么需要帮助解决的,可以点击右边的工程师,或者点击销售经理给您精准的报价以及产品介绍