在本篇文章中,我将从不同方面深入介绍降压、升压和降压-升压拓扑结构。
降压转换器
图1是非同步降压转换器的原理图。降压转换器将其输入电压降低为较低的输出电压。当开关Q1导通时,能量转移到输出端。


图1:非同步降压转换器原理图
公式1计算占空比:


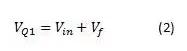
公式2计算最大金属氧化物半导体场效应晶体管(MOSFET)应力:


公式3给出了最大二极管应力:


其中Vin是输入电压,Vout是输出电压,Vf是二极管正向电压。
与线性稳压器或低压差稳压器(LDO)相比,输入电压和输出电压之间的差异越大,降压转换器的效率就越高。
尽管降压转换器在输入端具有脉冲电流,但由于的电感 - 电容(LC)滤波器位于转换器的输出端,输出电流是连续的。结果,与输出端的纹波相比,反射到输入端的电压纹波将会更大。
对于占空比小且输出电流大于3A的降压转换器,建议使用同步整流器。如果您的电源需要大于30A的输出电流,建议使用多相或交错功率级,因为这样可以最大限度地减少组件的应力,在多个功率级之间分散产生的热量,并减少转换器输入端的反射纹波。
使用N-FET时会造成占空比受限,因为自举电容需要在每个开关循环进行再充电。在这种情况下,最大占空比在95-99%的范围内。
降压转换器通常具有良好的动态特性,因为它们为正向拓扑结构??墒迪值拇砣【鲇谖蟛罘糯笃鞯闹柿亢退≡竦目仄德?。
图2至图7显示了非同步降压转换器中FET、二极管和电感器在连续导通模式(CCM)下的电压和电流波形。


升压转换器
升压转换器将其输入电压升高为更大的输出电压。当开关Q1不导通时,能量转移到输出端。图8是非同步升压转换器的原理图。


图8:非同步升压转换器原理图
公式4计算占空比:


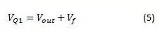
公式5计算最大MOSFET应力:


公式6给出了最大二极管应力:


其中Vin是输入电压,Vout是输出电压,Vf是二极管正向电压。
使用升压转换器,可以看到脉冲输出电流,因为LC滤波器位于输入端。因此,输入电流是连续的,输出电压纹波大于输入电压纹波。
在设计升压转换器时,重要的是要知道,即使转换器不在进行切换,也会有从输入到输出的永久连接。必须采取预防措施,以防输出端可能发生的短路事件。
对于大于4A的输出电流,应使用同步整流器替换二极管。如果电源需要提供大于10A的输出电流,强烈建议采用多相或交错功率级方式。
当在CCM模式下工作时,升压转换器的动态特性由于其传递函数的右半平面零点(RHPZ)而受到限制。由于RHPZ无法补偿,所以可实现的带宽通常将小于RHPZ频率的五分之一到十分之一。请参见公式7:


其中Vout是输出电压,D是占空比,Iout是输出电流,L1是升压转换器的电感。
图9至图14显示了非同步升压转换器中FET、二极管和电感器在CCM模式下的电压和电流波形。


降压-升压转换器
降压-升压转换器是降压和升压功率级的组合,共享相同的电感器。参见图15。


图15:双开关降压-升压转换器原理图
降压-升压拓扑结构很实用,因为输入电压可以比输出电压更小、更大或相同,而需要输出功率大于50W。
对于小于50W的输出功率,单端初级电感转换器(SEPIC)是一种更具成本效益的选择,因为它使用较少的组件。
当输入电压大于输出电压时,降压-升压转换器以降压模式工作;输入电压小于输出电压时,在升压模式下工作。当转换器在输入电压处于输出电压范围内的传输区域中工作时,处理这些情况有两个概念:或是降压和升压级同时有效,或是开关循环在降压和升压级之间交替,每个通常以正??仄德实囊话朐诵小5诙龈拍羁梢栽谑涑龆艘鸫涡巢ㄔ肷?,而与常规降压或升压工作相比,输出电压精度可能不那么精确,但与第一个概念相比,转换器将更加有效。
降压-升压拓扑结构在输入和输出端都有脉冲电流,因为任一方向都没有LC滤波器。
对于降压-升压转换器,可以分别使用降压和升压功率级计算。
具有两个开关的降压-升压转换器适用于50W至100W之间的功率范围(如LM5118),同步整流功率可达400W(与LM5175相同)。建议使用与未组合降压和升压功率级相同的电流限制的同步整流器。
您需要为升压级设计降压-升压转换器的补偿网络,因为RHPZ会限制稳压器带宽。
烜芯微专业制造二极管,三极管,MOS管,桥堆等20年,工厂直销省20%,4000家电路电器生产企业选用,专业的工程师帮您稳定好每一批产品,如果您有遇到什么需要帮助解决的,可以点击右边的工程师,或者点击销售经理给您精准的报价以及产品介绍
烜芯微专业制造二极管,三极管,MOS管,桥堆等20年,工厂直销省20%,4000家电路电器生产企业选用,专业的工程师帮您稳定好每一批产品,如果您有遇到什么需要帮助解决的,可以点击右边的工程师,或者点击销售经理给您精准的报价以及产品介绍