数字电桥就是能够测量电感,电容,电阻,阻抗的仪器,这是一个传统习惯的说法,最早的阻抗测量用的是真正的电桥方法,随着现代模拟和数字技术的发展,早已经淘汰了这种测量方法,但 LCR 电桥的叫法一直沿用至今。如果是使用了微处理器的 LCR 电桥则叫 LCR 数字电桥。一般用户又称这些为:LCR 测试仪、LCR 电桥、LCR 表、LCR Meter 等等。


随着电路信号不断“高速”、“高频”。 我们必须知道 LRC 的实际模型,而不能简单的看成理想模型。
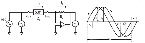
通过精确测量加载到被测件 DUT 的电压和电流,从而精确测量出 DUT 阻抗值。从图中可以看出,通过 DUT 的电流等于通过电阻 Rr 的电流,而通过 Rr 的电流可以通过测量 Vr 计算出来。






阻抗的测量归结为两个正弦信号的相位差的测量。
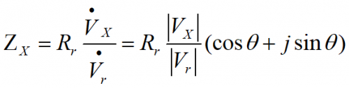
在 LCR 数字电桥内部,可以使用相敏检波器(PSD)分别测出 Vx 和 Vr 对应于某一参考相量的同相量分量和正交分量,然后经模数转换(A/D)器将其转化为数字量,再由计算机进行复数运算,即可得到组成被测阻抗 Zx 的电阻值与电抗值。
数字电桥只是继承了电桥传统的称呼。实际上它已失去传统经典交流电桥的组成形式,而是在更高的水平上回到以欧姆定律为基础的测量阻抗的电流表、电压表的线路和原理中。
如何测量电压与电流的相位差
方法一:过零比较+时间测量技术


通过用过零点出发一个电平的方式,再测量两个过零点之间的时间差。


方法二:双通道同步取样技术


通过两路 ADC 采样后做运算处理分析。


方法三:模拟乘法器


将两个信号进行乘法。
既然可以获取角度值,则可以获得阻抗值。
烜芯微专业制造二极管,三极管,MOS管,桥堆等20年,工厂直销省20%,4000家电路电器生产企业选用,专业的工程师帮您稳定好每一批产品,如果您有遇到什么需要帮助解决的,可以点击右边的工程师,或者点击销售经理给您精准的报价以及产品介绍
烜芯微专业制造二极管,三极管,MOS管,桥堆等20年,工厂直销省20%,4000家电路电器生产企业选用,专业的工程师帮您稳定好每一批产品,如果您有遇到什么需要帮助解决的,可以点击右边的工程师,或者点击销售经理给您精准的报价以及产品介绍