1、晶闸管(SCR)
晶体闸流管简称晶闸管,也称为可控硅整流元件(SCR),是由三个 PN 结构成的一种大功率半导体器件。在性能上,晶闸管不仅具有单向导电性,而且还具有比硅整流元件更为可贵的可控性,它只有导通和关断两种状态。
晶闸管的优点很多,例如:以小功率控制大功率,功率放大倍数高达几十万倍;反应极快,在微秒级内开通、关断;无触点运行,无火花、无噪声;效率高,成本低等。因此,特别是在大功率 UPS 供电系统中,晶闸管在整流电路、静态旁路开关、无触点输出开关等电路中得到广泛的应用。
晶闸管的弱点:静态及动态的过载能力较差,容易受干扰而误导通。
晶闸管从外形上分类主要有:螺栓形、平板形和平底形。
2、普通晶闸管的结构和工作原理
晶闸管是 PNPN 四层三端器件,共有三个 PN 结。分析原理时,可以把它看作是由一个 PNP 管和一个 NPN 管所组成,其等效图解如图 1(a)所示,图 1(b)为晶闸管的电路符号。


图 1 晶闸管等效图解图
2.1、晶闸管的工作过程
晶闸管是四层三端器件,它有 J1、J2、J3 三个 PN 结,可以把它中间的 NP 分成两部分,构成一个 PNP 型三极管和一个 NPN 型三极管的复合管。
当晶闸管承受正向阳极电压时,为使晶闸管导通,必须使承受反向电压的 PN 结 J2 失去阻挡作用。每个晶体管的集电极电流同时就是另一个晶体管的基极电流。因此是两个互相复合的晶体管电路,当有足够的门极电流 Ig 流入时,就会形成强烈的正反馈,造成两晶体管饱和导通。
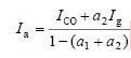
设 PNP 管和 NPN 管的集电极电流分别为 IC1 和 IC2,发射极电流相应为 Ia 和 Ik,电流放大系数相应为α1=IC1/Ia 和α2=IC2/Ik,设流过 J2 结的反相漏电流为 ICO,晶闸管的阳极电流等于两管的集电极电流和漏电流的总和:
Ia=IC1+IC2+ICO=α1Ia+α2Ik+ICO (1)
若门极电流为 Ig,则晶闸管阴极电流为:Ik=Ia+Ig。
因此,可以得出晶闸管阳极电流为:


(2)硅 PNP 管和硅 NPN 管相应的电流放大系数α1 和α2 随其发射极电流的改变而急剧变化。当晶闸管承受正向阳极电压,而门极未接受电压的情况下,式(1)中 Ig=0,(α1+α2)很小,故晶闸管的阳极电流 Ia≈ICO,晶闸管处于正向阻断状态;当晶闸管在正向门极电压下,从门极 G 流入电流 Ig,由于足够大的 Ig 流经 NPN 管的发射结,从而提高放大系数α2,产生足够大的集电极电流 IC2 流过 PNP 管的发射结,并提高了 PNP 管的电流放大系数α1,产生更大的集电极电流 IC1 流经 NPN 管的发射结,这样强烈的正反馈过程迅速进行。
当α1 和α2 随发射极电流增加而使得(α1+α2)≈1 时,式(1)中的分母 1-(α1+α2)≈0,因此提高了晶闸管的阳极电流 Ia。这时,流过晶闸管的电流完全由主回路的电压和回路电阻决定,晶闸管已处于正向导通状态。晶闸管导通后,式(1)中 1-(α1+α2)≈0,即使此时门极电流 Ig=0,晶闸管仍能保持原来的阳极电流 Ia 而继续导通,门极已失去作用。在晶闸管导通后,如果不断地减小电源电压或增大回路电阻,使阳极电流 Ia 减小到维持电流 IH 以下时,由于α1 和α2 迅速下降,晶闸管恢复到阻断状态。
2.2、晶闸管的工作条件
由于晶闸管只有导通和关断两种工作状态,所以它具有开关特性,这种特性需要一定的条件才能转化,此条件见表 1。


表 1 晶闸管导通和关断条件
(1)晶闸管承受反向阳极电压时,无论门极承受何种电压,晶闸管都处于关断状态。
(2)晶闸管承受正向阳极电压时,仅在门极承受正向电压的情况下晶闸管才导通。
(3)晶闸管在导通情况下,只要有一定的正向阳极电压,无论门极电压如何,晶闸管保持导通,即晶闸管导通后,门极失去作用。
(4)晶闸管在导通情况下,当主回路电压(或电流)减小到接近于零时,晶闸管关断。
3、晶闸管的伏安特性和主要参数
3.1、晶闸管的伏安特性
晶闸管阳极 A 与阴极 K 之间的电压与晶闸管阳极电流之间关系称为晶闸管伏安特性,如图 2 所所示。正向特性位于第一象限,反向特性位于第三象限。


图 2 晶闸管伏安特性参数示意图
(1) 反向特性
当门极 G 开路,阳极加上反向电压时(见图 3),J2 结正偏,但 J1、J2 结反偏。此时只能流过很小的反向饱和电流,当电压进一步提高到 J1 结的雪崩击穿电压后,同时 J3 结也击穿,电流迅速增加,如图 2 的特性曲线 OR 段开始弯曲,弯曲处的电压 URO 称为“反向转折电压”。此后,晶闸管会发生永久性反向击穿。


图 3 阳极加反向电压


图 4 阳极加正向电压
(2) 正向特性
当门极 G 开路,阳极 A 加上正向电压时(见图 4),J1、J3 结正偏,但 J2 结反偏,这与普通 PN 结的反向特性相似,也只能流过很小电流,这叫正向阻断状态,当电压增加,如图 2 的特性曲线 OA 段开始弯曲,弯曲处的电压 UBO 称为“正向转折电压”。
由于电压升高到 J2 结的雪崩击穿电压后,J2 结发生雪崩倍增效应,在结区产生大量的电子和空穴,电子进入 N1 区,空穴进入 P2 区。进入 N1 区的电子与由 P1 区通过 J1 结注入 N1 区的空穴复合。同样,进入 P2 区的空穴与由 N2 区通过 J3 结注入 P2 区的电子复合,雪崩击穿后,进入 N1 区的电子与进入 P2 区的空穴各自不能全部复合掉。这样,在 N1 区就有电子积累,在 P2 区就有空穴积累,结果使 P2 区的电位升高,N1 区的电位下降,J2 结变成正偏,只要电流稍有增加,电压便迅速下降,出现所谓负阻特性,见图 2 中的虚线 AB 段。这时 J1、J2、J3 三个结均处于正偏,晶闸管便进入正向导电状态——通态,此时,它的特性与普通的 PN 结正向特性相似,如图 2 的 BC 段。
(3) 触发导通
在门极 G 上加入正向电压时(如图 5 所示),因 J3 正偏,P2 区的空穴进入 N2 区,N2 区的电子进入 P2 区,形成触发电流 IGT。在晶闸管的内部正反馈作用(如图 2)的基础上,加上 IGT 的作用,使晶闸管提前导通,导致图 2 中的伏安特性 OA 段左移,IGT 越大,特性左移越快。


图 5 阳极和门极均加正向电压
3.2、晶闸管的主要参数
(1)断态重复峰值电压 UDRM
门极开路,重复率为每秒 50 次,每次持续时间不大于 10ms 的断态最大脉冲电压,UDRM=90%UDSM,UDSM 为断态不重复峰值电压。UDSM 应比 UBO 小,所留的裕量由生产厂家决定。
(2)反向重复峰值电压 URRM
其定义同 UDRM 相似,URRM=90%URSM,URSM 为反向不重复峰值电压。
(3)额定电压
选 UDRM 和 URRM 中较小的值作为额定电压,选用时额定电压应为正常工作峰值电压的 2~3 倍,应能承受经常出现的过电压。
烜芯微专业制造二极管,三极管,MOS管,桥堆等20年,工厂直销省20%,4000家电路电器生产企业选用,专业的工程师帮您稳定好每一批产品,如果您有遇到什么需要帮助解决的,可以点击右边的工程师,或者点击销售经理给您精准的报价以及产品介绍
烜芯微专业制造二极管,三极管,MOS管,桥堆等20年,工厂直销省20%,4000家电路电器生产企业选用,专业的工程师帮您稳定好每一批产品,如果您有遇到什么需要帮助解决的,可以点击右边的工程师,或者点击销售经理给您精准的报价以及产品介绍