LM393是双电压比较器集成电路。
1.LM393中文资料

图片来源于网络
输出负载电阻能衔接在可允许电源电压范围内的任何电源电压上,不受 Vcc 端电压值的限制,输出部分的陷电流被可能得到的驱动和器件的β值所限制。当达到极限电流(16mA)时,输出晶体管将退出而且输出电压将很快上升。输出饱和电压被输出晶体管大约 60ohm 的γSAT 限制。当负载电流很小时,输出晶体管的低失调电压(约 1.0mV)允许 输出箝位在零电平。
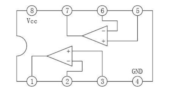
2.引脚图及功能

1.OUTA 输出 A
2.INA- 反相输入 A
3.INA+ 同相输入 A
4.GND 接地端
5.INB+ 同相输入 B
6.INB- 反相输入 B
7.OUT B 输出 B
8.Vcc 电源电压
3.工作原理
LM393 是高增益,宽频带器件,像大多数比较器一样,如果输出端到输入端有寄生电容而产生耦合,则很容易产生振荡。这种现象仅仅出现在当比较器改变状态时,输出电压过渡的间隙,电源加旁路滤波并不能解决这个问题,标准 PC 板的设计对减小输入 - 输出寄生电容耦合是有助的。减小输入电阻至小于 10K 将减小反馈信号,而且增加甚至很小的正反馈量(滞回 1.0~10mV)能导致快速转换,使得不可能产生由于寄生电容引起的振荡,除非利用滞后,否则直接插入 IC(集成电路板 integrated circuit,缩写:IC) 并在引脚上加上电阻将引起输入 - 输出在很短的转换周期内振荡,如果输入信号是脉冲波形,并且上升和下降时间相当快,则滞回将不需要。
(1)比较器的所有没有用的引脚必须接地。
(2)LM393 偏置网络确立了其静态电流与电源电压范围 2.0~30V 无关。
(3)通常电源不需要加旁路电容。
(4)差分输入电压可以大于 Vcc 并不损坏器件,?;げ糠直匦肽茏柚故淙氲缪瓜蚋憾顺?-0.3V。
(5)当负载电流很小时,输出晶体管的低失调电压(约 1.0mV)允许输出箝位在零电平。
(6)LM393 的输出部分是集电极开路,发射极接地的 NPN 输出晶体管,可以用多集电极输出提供或 OR ing 功能。此输出能作为一个简单的对地 SPS 开路(当不用负载电阻没被运用),输出部分的陷电流被可能得到的驱动和器件的β值所限制。当达到极限电流(16mA)时,输出晶体管将退出而且输出电压将很快上升。输出饱和电压被输出晶体管大约 60ohm 的γSAT 限制。
4.内部结构

5.作用和用途
输出负载电阻能衔接在可允许电源电压范围内的任何电源电压上,不受 Vcc 端电压值的限制,输出部分的陷电流被可能得到的驱动和器件的β值所限制 . 当达到极限电流(16mA)时,输出晶体管将退出而且输出电压将很快上升。输出饱和电压被输出晶体管大约 60ohm 的γSAT 限制。当负载电流很小时,输出晶体管的低失调电压(约 1.0mV)允许 输出箝位在零电平。
烜芯微专业制造二极管,三极管,MOS管,桥堆等20年,工厂直销省20%,4000家电路电器生产企业选用,专业的工程师帮您稳定好每一批产品,如果您有遇到什么需要帮助解决的,可以点击右边的工程师,或者点击销售经理给您精准的报价以及产品介绍
烜芯微专业制造二极管,三极管,MOS管,桥堆等20年,工厂直销省20%,4000家电路电器生产企业选用,专业的工程师帮您稳定好每一批产品,如果您有遇到什么需要帮助解决的,可以点击右边的工程师,或者点击销售经理给您精准的报价以及产品介绍