滤波器不会引起显着衰减的频率范围称为通带,滤波器确实导致显着衰减的频率范围称为阻带。模拟滤波器,例如 RC 低通滤波器,总是从通带逐渐过渡到阻带。这意味着无法识别滤波器停止传递信号并开始阻塞信号的一个频率。然而,工程师需要一种方便,简洁地总结滤波器频率响应的方法,这就是截止频率概念发挥作用的地方。
当您查看 RC 滤波器的频率响应图时,您会注意到术语“截止频率”不是很准确。信号光谱被“切割”成两半的图像,其中一个被保留而其中一个被丢弃,不适用,因为随着频率从截止点下方移动到截止值以上,衰减逐渐增加。
RC 低通滤波器的截止频率实际上是输入信号幅度降低 3dB 的频率(选择该值是因为幅度降低 3dB 对应于功率降低 50%)。因此,截止频率也称为 -3 dB 频率,实际上该名称更准确且信息量更大。术语带宽是指滤波器通带的宽度,在低通滤波器的情况下,带宽等于 -3 dB 频率(如下图所示)。

该图表示 RC 低通滤波器的频率响应的一般特性。带宽等于 -3 dB 频率。
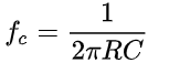
如上所述,RC 滤波器的低通行为是由电阻器的频率无关阻抗与电容器的频率相关阻抗之间的相互作用引起的。为了确定滤波器频率响应的细节,我们需要在数学上分析电阻(R)和电容(C)之间的关系,我们还可以操纵这些值,以设计满足精确规格的滤波器。RC 低通滤波器的截止频率(f C)计算如下:


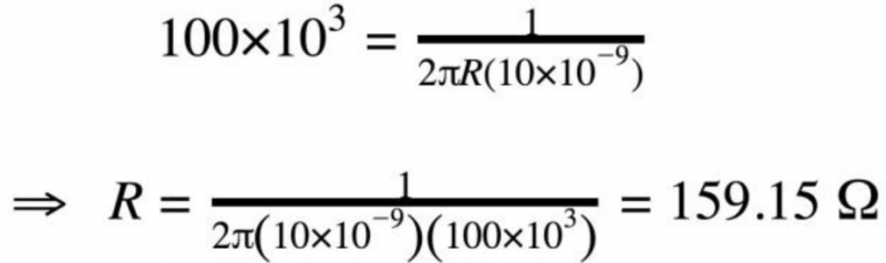
我们来看一个简单的设计实例。电容值比电阻值更具限制性,因此我们将从常见的电容值(例如 10 nF)开始,然后我们将使用该公式来确定所需的电阻值。目标是设计一个滤波器,它将保留 5 kHz 音频波形并抑制 500 kHz 噪声波形。我们将尝试 100 kHz 的截止频率,稍后在文章中我们将更仔细地分析此滤波器对两个频率分量的影响。
因此,160Ω电阻与 10 nF 电容相结合,将为我们提供一个非常接近所需频率响应的滤波器。

因此,160Ω电阻与 10 nF 电容相结合,将为我们提供一个非常接近所需频率响应的滤波器。
烜芯微专业制造二极管,三极管,MOS管,桥堆等20年,工厂直销省20%,4000家电路电器生产企业选用,专业的工程师帮您稳定好每一批产品,如果您有遇到什么需要帮助解决的,可以点击右边的工程师,或者点击销售经理给您精准的报价以及产品介绍

因此,160Ω电阻与 10 nF 电容相结合,将为我们提供一个非常接近所需频率响应的滤波器。
烜芯微专业制造二极管,三极管,MOS管,桥堆等20年,工厂直销省20%,4000家电路电器生产企业选用,专业的工程师帮您稳定好每一批产品,如果您有遇到什么需要帮助解决的,可以点击右边的工程师,或者点击销售经理给您精准的报价以及产品介绍