在开关电源的设计中电感的设计为工程师带来的许多的挑战。工程师不仅要选择电感值,还要考虑电感可承受的电流,绕线电阻,机械尺寸等等。本文专注于解释:电感上的 DC 电流效应。这也会为选择合适的电感提供必要的信息。
理解电感的功能
电感常常被理解为开关电源输出端中的 LC 滤波电路中的 L(C 是其中的输出电容)。虽然这样理解是正确的,但是为了理解电感的设计就必须更深入的了解电感的行为。
在降压转换中(Fairchild 典型的开关控制器),电感的一端是连接到 DC 输出电压。另一端通过开关频率切换连接到输入电压或 GND。


在状态 1 过程中,电感会通过(高边 “high-side”)MOSFET 连接到输入电压。在状态 2 过程中,电感连接到 GND。由于使用了这类的控制器,可以采用两种方式实现电感接地:通过 二极管接地或通过(低边“low-side”)MOSFET 接地。如果是后一种方式,转换器就称为“同步(synchronus)”方式。
现在再考虑一下在这两个状态下流过电感的电流是如果变化的。在状态 1 过程中,电感的一端连接到输入电压,另一端连接到输出电压。对于一个降压转换器,输 入电压必须比输出电压高,因此会在电感上形成正向压降。相反,在状态 2 过程中,原来连接到输入电压的电感一端被连接到地。对于一个降压转换器,输出电压必 然为正端,因此会在电感上形成负向的压降。
我们利用电感上电压计算公式:V=L(dI/dt)
因此,当电感上的电压为正时(状态 1),电感上的电流就会增加;当电感上的电压为负时(状态 2),电感上的电流就会减小。通过电感的电流如图 2 所示:


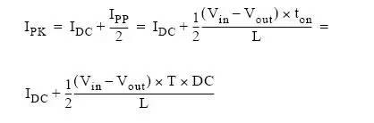
通过上图我们可以看到,流过电感的最大电流为 DC 电流加开关峰峰电流的一半。上图也称为纹波电流。根据上述的公式,我们可以计算出峰值电流:


其中,ton 是状态 1 的时间,T 是开关周期(开关频率的倒数),DC 为状态 1 的占空比。
警告:上面的计算是假设各元器件(MOSFET 上的导通压降,电感的导通压降或异步电路中肖特基二极管的正向压降)上的压降对比输入和输出电压是可以忽略的。
如果,器件的下降不可忽略,就要用下列公式作精确计算:
同步转换电路:


异步转换电路:


其中,Rs 为感应电阻阻抗加电感绕线电阻的阻。Vf 是肖特基二极管的正向压降。R 是 Rs 加 MOSFET 导通电阻,R=Rs+Rm。
电感磁芯的饱和度
通过已经计算的电感峰值电流,我们可以发现电感上产生了什么。很容易会知道,随着通过电感的电流增加,它的电感量会减小。这是由于磁芯材料的物理特性决 定的。电感量会减少多少就很重要了:如果电感量减小很多,转换器就不会正常工作了。当通过电感的电流大到电感实效的程度,此时的电流称为“饱和电流”。这 也是电感的基本参数。
实际上,转换电路中的开关功率电感总会有一个“软”饱和度。要了解这个概念可以观察实际测量的电感 Vs DC 电流的曲线:


当电流增加到一定程度后,电感量就不会急剧下降了,这就称为“软”饱和特性。如果电流再增加,电感就会损坏了。
注意:电感量下降在很多类的电感中都会存在。例如:toroids,gapped E-cores 等。但是,rod core 电感就不会有这种变化。
有了这个软饱和的特性,我们就可以知道在所有的转换器中为什么都会规定在 DC 输出电流下的最小电感量;而且由于纹波电流的变化也不会严重影响电感量。在 所有的应用中都希望纹波电流尽量的小,因为它会影响输出电压的纹波。这也就是为什么大家总是很关心 DC 输出电流下的电感量,而会在 Spec 中忽略纹波电流 下的电感量。
烜芯微专业制造二极管,三极管,MOS管,桥堆等20年,工厂直销省20%,4000家电路电器生产企业选用,专业的工程师帮您稳定好每一批产品,如果您有遇到什么需要帮助解决的,可以点击右边的工程师,或者点击销售经理给您精准的报价以及产品介绍
烜芯微专业制造二极管,三极管,MOS管,桥堆等20年,工厂直销省20%,4000家电路电器生产企业选用,专业的工程师帮您稳定好每一批产品,如果您有遇到什么需要帮助解决的,可以点击右边的工程师,或者点击销售经理给您精准的报价以及产品介绍