几种基本类型的开关电源
顾名思义,开关电源就是利用电子开关器件(如晶体管、场效应管、可控硅闸流管等),通过控制电路,使电子开关器件不停地“接通”和“关断”,让电子开关器件对输入电压进行脉冲调制,从而实现DC/AC、DC/DC电压变换,以及输出电压可调和自动稳压。
开关电源一般有三种工作模式:频率、脉冲宽度固定模式,频率固定、脉冲宽度可变模式,频率、脉冲宽度可变模式。前一种工作模式多用于DC/AC逆变电源,或DC/DC电压变换;后两种工作模式多用于开关稳压电源。另外,开关电源输出电压也有三种工作方式:直接输出电压方式、平均值输出电压方式、幅值输出电压方式。同样,前一种工作方式多用于DC/AC逆变电源,或DC/DC电压变换;后两种工作方式多用于开关稳压电源。
根据开关器件在电路中连接的方式,目前比较广泛使用的开关电源,大体上可分为:串联式开关电源、并联式开关电源、变压器式开关电源等三大类。其中,变压器式开关电源(后面简称变压器开关电源)还可以进一步分成:推挽式、半桥式、全桥式等多种;根据变压器的激励和输出电压的相位,又可以分成:正激式、反激式、单激式和双激式等多种;如果从用途上来分,还可以分成更多种类。
下面我们先对串联式、并联式、变压器式等三种最基本的开关电源工作原理进行简单介绍,其它种类的开关电源也将逐步进行详细分析。
串联式开关电源
串联式开关电源的工作原理
图1-1-a是串联式开关电源的最简单工作原理图,图1-1-a中Ui是开关电源的工作电压,即:直流输入电压;K是控制开关,R是负载。当控制开关K接通的时候,开关电源就向负载R输出一个脉冲宽度为Ton,幅度为Ui的脉冲电压Up;当控制开关K关断的时候,又相当于开关电源向负载R输出一个脉冲宽度为Toff,幅度为0的脉冲电压。这样,控制开关K不停地“接通”和“关断”,在负载两端就可以得到一个脉冲调制的输出电压uo 。
图1-1-b是串联式开关电源输出电压的波形,由图中看出,控制开关K输出电压uo是一个脉冲调制方波,脉冲幅度Up等于输入电压Ui,脉冲宽度等于控制开关K的接通时间Ton,由此可求得串联式开关电源输出电压uo的平均值Ua为:


串联式开关电源输出电压的波形图
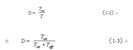
式中Ton为控制开关K接通的时间,T为控制开关K的工作周期。改变控制开关K接通时间Ton与关断时间Toff的比例,就可以改变输出电压uo的平均值Ua 。一般人们都把 称为占空比(Duty),用D来表示,即:


占空比计算式
串联式开关电源输出电压uo的幅值Up等于输入电压Ui,其输出电压uo的平均值Ua总是小于输入电压Ui,因此,串联式开关电源一般都是以平均值Ua为变量输出电压。所以,串联式开关电源属于降压型开关电源。
串联式开关电源也有人称它为斩波器,由于它工作原理简单,工作效率很高,因此其在输出功率控制方面应用很广。例如,电动摩托车速度控制器以及灯光亮度控制器等,都是属于串联式开关电源的应用。如果串联式开关电源只单纯用于功率输出控制,电压输出可以不用接整流滤波电路,而直接给负载提供功率输出;但如果用于稳压输出,则必须要经过整流滤波。
串联式开关电源的缺点是输入与输出共用一个地,因此,容易产生EMI干扰和底板带电,当输入电压为市电整流输出电压的时候,容易引起触电,对人身不安全。
串联式开关电源输出电压滤波电路
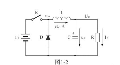
大多数开关电源输出都是直流电压,因此,一般开关电源的输出电路都带有整流滤波电路。图1-2是带有整流滤波功能的串联式开关电源工作原理图。


带有整流滤波功能的串联式开关电源工作原理图
图1-2是在图1-1-a电路的基础上,增加了一个整流二极管和一个LC滤波电路。其中L是储能滤波电感,它的作用是在控制开关K接通期间Ton限制大电流通过,防止输入电压Ui直接加到负载R上,对负载R进行电压冲击,同时对流过电感的电流iL转化成磁能进行能量存储,然后在控制开关K关断期间Toff把磁能转化成电流iL继续向负载R提供能量输出;C是储能滤波电容,它的作用是在控制开关K接通期间Ton把流过储能电感L的部分电流转化成电荷进行存储,然后在控制开关K关断期间Toff把电荷转化成电流继续向负载R提供能量输出;D是整流二极管,主要功能是续流作用,故称它为续流二极管,其作用是在控制开关关断期间Toff,给储能滤波电感L释放能量提供电流通路。
在控制开关关断期间Toff,储能电感L将产生反电动势,流过储能电感L的电流iL由反电动势eL的正极流出,通过负载R,再经过续流二极管D的正极,然后从续流二极管D的负极流出,最后回到反电动势eL的负极。
对于图1-2,如果不看控制开关K和输入电压Ui,它是一个典型的反 型滤波电路,它的作用是把脉动直流电压通过平滑滤波输出其平均值。
图1-3、图1-4、图1-5分别是控制开关K的占空比D等于0.5、 0.5、> 0.5时,图1-2电路中几个关键点的电压和电流波形。图1-3-a)、图1-4-a)、图1-5-a)分别为控制开关K输出电压uo的波形;图1-3-b)、图1-4-b)、图1-5-b)分别为储能滤波电容两端电压uc的波形;图1-3-c)、图1-4-c)、图1-5-c)分别为流过储能电感L电流iL的波形。


波形图


波形图
在Ton期间,控制开关K接通,输入电压Ui通过控制开关K输出电压uo,然后加到储能滤波电感L和储能滤波电容C组成的滤波电路上,在此期间储能滤波电感L两端的电压eL为:


计算式
式中:Ui输入电压,Uo为直流输出电压,即:电容两端的电压uc的平均值。
在此顺便说明:由于电容两端的电压变化量ΔU相对于输出电压Uo来说非常小,为了简单,我们这里把Uo当成常量来处理。在某种情况下,如需要对电容的初次充、放电过程进行分析时,必须需要建立微分方程,并求解。因为输出电压Uo的建立需要一定的时间,精确计算得出的结果中一般都含有指数函数项,当令时间变量等于无穷大时,即电路进入稳态时,再对相关参量取平均值,其结果就基本与(1-4)相等。
对(1-4)式进行积分得:


计算式


上面计算都是假设输出电压Uo基本不变的情况得到的结果,在实际应用电路中也正好是这样,输出电压Uo的电压纹波非常小,只有输出电压的百分之几,工程计算中完全可以忽略不计。
从(1-4)式到(1-11)和图1-3、图1-4、图1-5中可以看出:
当开关电源工作于临界连续电流或连续电流状态时,在K接通和关断的整个周期内,储能电感L都有电流流出,但在K接通期间与K关断期间,流过储能电感L的电流的上升率(绝对值)一般是不一样的。在K接通期间,流过储能电感L的电流上升率为: ;在K关断期间,流过储能电感L的电流上升率为: 。因此:
(1)当Ui = 2Uo时,即滤波输出电压Uo等于电源输入电压Ui的一半时,或控制开关K的占空比D为二分之一时,流过储能电感L的电流上升率,在K接通期间与K关断期间绝对值完全相等,即电感存储能量的速度与释放能量的速度完全相等。此时,(1-5)式中i(0)和(1-11)式中iLX均等于0。在这种情况下,流过储能电感L的电流iL为临界连续电流,且滤波输出电压Uo等于滤波输入电压uo的平均值Ua。参看图1-3。
(2)当Ui > 2Uo时,即:滤波输出电压Uo小于电源输入电压Ui的一半时,或控制开关K的占空比小于二分之一时:虽然在K接通期间,流过储能电感L的电流上升率(绝对值),大于,在K关断期间,流过储能电感L的电流上升率(绝对值);但由于(1-5)式中i(0)等于0,以及Ton小于Toff,此时,(1-11)式中的iLX会出现负值,即输出电压反过来要对电感充电,但由于整流二极管D的存在,这是不可能的,这表示流过储能电感L的电流提前过0,即有断流。在这种情况下,流过储能电感L的电流iL不是连续电流,开关电源工作于电流不连续状态,因此,输出电压Uo的纹波比较大,且滤波输出电压Uo小于滤波输入电压uo的平均值Ua。参看图1-4。
(3)当Ui 2Uo时,即:滤波输出电压Uo大于电源输入电压Ui的一半时,或控制开关K的占空比大于二分之一时:在K接通期间,虽然流过储能电感L的电流上升率(绝对值),小于,在K关断期间,流过储能电感L的电流上升率(绝对值)。但由于Ton大于Toff,(1-5)式中i(0)和(1-11)式中iLX均大于0,即:电感存储能量每次均释放不完。在这种情况下,流过储能电感L的电流iL是连续电流,开关电源工作于连续电流状态,输出电压Uo的纹波比较小,且滤波输出电压Uo大于滤波输入电压uo的平均值Ua。参看图1-5。
串联式开关电源储能滤波电感的计算
从上面分析可知,串联式开关电源输出电压Uo与控制开关的占空比D有关,还与储能电感L的大小有关,因为储能电感L决定电流的上升率(di/dt),即输出电流的大小。因此,正确选择储能电感的参数相当重要。
串联式开关电源最好工作于临界连续电流状态,或连续电流状态。串联式开关电源工作于临界连续电流状态时,滤波输出电压Uo正好是滤波输入电压uo的平均值Ua,此时,开关电源输出电压的调整率为最好,且输出电压Uo的纹波也不大。因此,我们可以从临界连续电流状态着手进行分析。我们先看(1-6)式:


计算式
(1-13)和(1-14)式,就是计算串联式开关电源储能滤波电感L的公式(D = 0.5时)。(1-13)和(1-14)式的计算结果,只给出了计算串联式开关电源储能滤波电感L的中间值,或平均值,对于极端情况可以在平均值的计算结果上再乘以一个大于1的系数。
如果增大储能滤波电感L的电感量,滤波输出电压Uo将小于滤波输入电压uo的平均值Ua,因此,在保证滤波输出电压Uo为一定值的情况下,势必要增大控制开关K的占空比D,以保持输出电压Uo的稳定;而控制开关K的占空比D增大,又将会使流过储能滤波电感L的电流iL不连续的时间缩短,或由电流不连续变成电流连续,从而使输出电压Uo的电压纹波ΔUP-P进一步会减小,输出电压更稳定。
如果储能滤波电感L的值小于(1-13)式的值,串联式开关电源滤波输出的电压Uo将大于滤波输入电压uo的平均值Ua,在保证滤波输出电压Uo为一定值的情况下,势必要减小控制开关K的占空比D,以保持输出电压Uo的值不变;控制开关K的占空比D减小,将会使流过滤波电感L的电流iL出现不连续,从而使输出电压Uo的电压纹波ΔUP-P增大,造成输出电压不稳定。
由此可知,调整串联式开关电源滤波输出电压Uo的大小,实际上就是同时调整流过滤波电感L和控制开关K占空比D的大小。
由图1-4可以看出:当控制开关K的占空比D小于0.5时,流过滤波电感L的电流iL出现不连续,输出电流Io小于流过滤波电感L最大电流iLm的二分之一,滤波输出电压Uo的电压纹波ΔUP-P将显著增大。因此,串联式开关电源最好不要工作于图1-4的电流不连续状态,而最好工作于图1-3和图1-5表示的临界连续电流和连续电流状态。
串联式开关电源工作于临界连续电流状态,输出电压Uo等于输入电压Ui的二分之一,等于滤波输入电压uo的平均值Ua;且输出电流Io也等于流过滤波电感L最大电流iLm的二分之一。
串联式开关电源工作于连续电流状态,输出电压Uo大于输入电压Ui的二分之一,大于滤波输入电压uo的平均值Ua;且输出电流Io也大于流过滤波电感L最大电流iLm的二分之一。
串联式开关电源储能滤波电容的计算
我们同样从流过储能电感的电流为临界连续电流状态着手,对储能滤波电容C的充、放电过程进行分析,然后再对储能滤波电容C的数值进行计算。
图1-6是串联式开关电源工作于临界连续电流状态时,串联式开关电源电路中各点电压和电流的波形。图1-6中,Ui为电源的输入电压,uo为控制开关K的输出电压,Uo为电源滤波输出电压,iL为流过储能滤波电感电流,Io为流过负载的电流。图1-6-a)是控制开关K输出电压的波形;图1-6-b)是储能滤波电容C的充、放电曲线图;图1-6-c)是流过储能滤波电感电流iL的波形。当串联式开关电源工作于临界连续电流状态时,控制开关K的占空比D等于0.5,流过负载的电流Io等于流过储能滤波电感最大电流iLm的二分之一。
在Ton期间,控制开关K接通,输入电压Ui通过控制开关K输出电压uo ,在输出电压uo作用下,流过储能滤波电感L的电流开始增大。当作用时间t大于二分之一Ton的时候,流过储能滤波电感L的电流iL开始大于流过负载的电流Io ,所以流过储能滤波电感L的电流iL有一部分开始对储能滤波电容C进行充电,储能滤波电容C两端电压开始上升。
当作用时间t等于Ton的时候,流过储能滤波电感L的电流iL为最大,但储能滤波电容C的两端电压并没有达到最大值,此时,储能滤波电容C的两端电压还在继续上升,因为,流过储能滤波电感L的电流iL还大于流过负载的电流Io ;当作用时间t等于二分之一Toff的时候,流过储能滤波电感L的电流iL正好等于负载电流Io,储能滤波电容C的两端电压达到最大值,电容停止充电,并开始从充电转为放电。


储能滤波电容进行放电时,电容两端电压是按指数曲线的速率变化
可以证明,储能滤波电容进行充电时,电容两端电压是按正弦曲线的速率变化,而储能滤波电容进行放电时,电容两端电压是按指数曲线的速率变化,这一点后面还要详细说明,请参考后面图1-23、图1-24、图1-25的详细分析。
图1-6中,电容两端的充放电曲线是有意把它的曲率放大了的,实际上它们的变化曲率并没有那么大。因为储能滤波电感L和储能滤波电容构成的时间常数相对于控制开关的接通或关断时间来说非常大(正弦曲线的周期:T = ),即:由储能滤波电感L和储能滤波电容组成谐振回路的谐振频率,相对于开关电源的工作频率来说,非常低,而电容两端的充放电曲线变化范围只相当于正弦曲线零点几度的变化范围,因此,电容两端的充、放电曲线基本上可以看成是直线,这相当于用曲率的平均值取代曲线曲率。同理,图1-3、图1-4、图1-5中储能滤波电容C的两端电压都可以看成是按直线变化的电压,或称为电压或电流锯齿波。
实际应用中,一般都是利用平均值的概念来计算储能滤波电容C的数值。值得注意的是:滤波电容C进行充、放电的电流ic的平均值Ia正好等于流过负载的电流Io,因为,在D等于0.5的情况下,电容充、放电的时间相等,只要电容两端电压的平均值不变,其充、放电的电流必然相等,并等于流过负载的电流Io。
滤波电容C的计算方法如下:
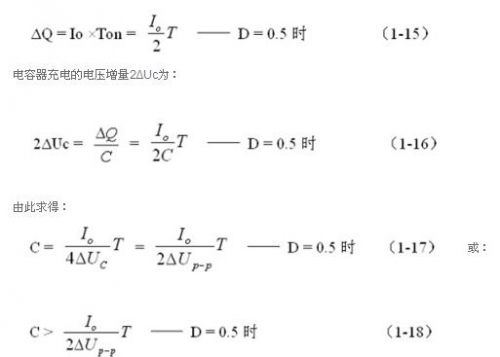
由图1-6可以看出,在控制开关的占空比D等于0.5的情况下,电容器充、放电的电荷和充、放电的时间,以及正、负电压纹波值均应该相等,并且电容器充电流的平均值也正好等于流过负载的电流。因此,电容器充时,电容器存储的电荷ΔQ为:


计算式
(1-17)和(1-18)式,就是计算串联式开关电源储能滤波电容的公式(D = 0.5时)。式中:Io是流过负载的电流,T为控制开关K的工作周期,ΔUP-P为输出电压的波纹。电压波纹ΔUP-P一般都取峰-峰值,所以电压波纹正好等于电容器充电或放电时的电压增量,即:ΔUP-P = 2ΔUc 。
顺便说明,由于人们习惯上都是以输出电压的平均值为水平线,把电压纹波分成正负两部分,所以这里遵照习惯也把电容器充电或放电时的电压增量分成两部分,即:2ΔUc。
同理,(1-17)和(1-18)式的计算结果,只给出了计算串联式开关电源储能滤波电容C的中间值,或平均值,对于极端情况可以在平均值的计算结果上再乘以一个大于1的系数。
当储能滤波电容的值小于(1-17)式的值时,串联式开关电源滤波输出电压Uo的电压纹波ΔUP-P会增大,并且当开关K工作的占空比D小于0.5时,由于流过储能滤波电感L的电流iL出现不连续,电容器放电的时间大于电容器充电的时间,因此,开关电源滤波输出电压Uo的电压纹波ΔUP-P将显著增大。因此,最好按(1-17)式计算结果的2倍以上来选取储能滤波电容的参数。
烜芯微专业制造二极管,三极管,MOS管,桥堆等20年,工厂直销省20%,4000家电路电器生产企业选用,专业的工程师帮您稳定好每一批产品,如果您有遇到什么需要帮助解决的,可以点击右边的工程师,或者点击销售经理给您精准的报价以及产品介绍
烜芯微专业制造二极管,三极管,MOS管,桥堆等20年,工厂直销省20%,4000家电路电器生产企业选用,专业的工程师帮您稳定好每一批产品,如果您有遇到什么需要帮助解决的,可以点击右边的工程师,或者点击销售经理给您精准的报价以及产品介绍