简介:在电路设计过程中,常??梢岳米跃俚缛莨钩傻淖跃俚缏防锤纳频缏返囊恍┬阅苤副?,比如增大电路的输入阻抗、提高电路的增益以及扩大电路的动态范围等等,在这里,我举一个自举电路的例子来详细说明它是如何增大电路的输入阻抗的。
首先,show一个很普通的原理图如下,


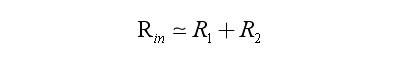
在上图中,为了使得运放在静态时能够正常工作,必须得在同相输入端与地之间加上一定阻值的电阻。经过简单分析可知这里引入的是一个电压串联负反馈,熟悉运放工作原理的人一眼就可以看出这个电路的输入电阻为:


很显然,这样的输入电阻相对而言实在过小,图中放大电路因此从信号源索取的电流就会相应很大,信号源内阻的压降随之增大,信号电压损失自然也就越大。所以,我们得想办法把它的输入电阻给提高一下,这时,我们可以设置一个自举电路的形式来有效的解决这个问题,解决办法如下图所示:


仅仅多加入了一个电容器,这个电路的输入电阻就“今非昔比”了。利用瞬时极性法可以判断出,电路中除了通过R4接反向输入端引入一个负反馈外,还通过R1接同相输入端而引入了一个正反馈,此时,R2和R3两个电阻并联在一起了。需要说明的是,这里电容(C1、C2)的选取值是比较大的,它们相对于交流信号来说相当于短路。正反馈的结果使得输入端的动态电位随之升高,也就是这种通过反馈使得输入端的动态电位升高的电路,称之为“自举电路”。
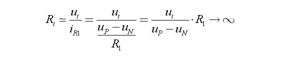
由于电容器C2很好的“通交隔直”特性,使得R1两端的压降即为(uP-uN),此时通过电阻R1的电流为:


我们再来看看这个电路的输入电阻情况,可得出如下方程式:


显而易见,对于该运放来说,由于电路中引入了深度负反馈,因此uP、uN几乎是相等的,那么Ri就会趋于极大值了,输入电阻也就得到了大幅度地提高,该电路的性能指标也因此得到了良好的改善。
本文结论:由此分析可知,在阻容耦合放大电路中,常??梢栽谝敫悍蠢〉耐?,引入合适的正反馈,以此提高电路的输入阻抗,来有效改善电路的性能指标。
烜芯微专业制造二极管,三极管,MOS管,桥堆等20年,工厂直销省20%,4000家电路电器生产企业选用,专业的工程师帮您稳定好每一批产品,如果您有遇到什么需要帮助解决的,可以点击右边的工程师,或者点击销售经理给您精准的报价以及产品介绍
烜芯微专业制造二极管,三极管,MOS管,桥堆等20年,工厂直销省20%,4000家电路电器生产企业选用,专业的工程师帮您稳定好每一批产品,如果您有遇到什么需要帮助解决的,可以点击右边的工程师,或者点击销售经理给您精准的报价以及产品介绍