单单说说交变电流中的纯电感电路,单单进行定性分析。
首先说交变电流的纯电阻电路
下图是一个纯电感电路的图示


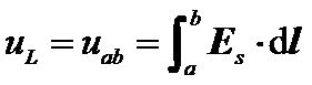
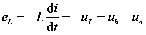
可以看到右图是端电压与电感中电流的相位图,可以看出是有相位差的。题主的问题就是为什么会有相位差。
由高中学过的楞次定律可以知道,如果电流的改变导致磁场的改变,那么导线中会产生相应的电流阻碍这种改变。而交变电流中的电感元件实际上就是缠绕了很多圈的导线,比如密绕螺线管。实际上,导线中除了原有电动势产生电场以外,额外产生了一个变化磁场产生的场。
电感中的?。?)电源产生的似稳无旋电场Es;
2)变化磁?。ǖ缌鳎┎谋浠绯k 。
欧姆定律的微分形式


导线中电流密度j有限 导线无电阻,即电导率无穷大(没学过高数的同学可以理解为无穷大乘以无穷小可以为一个定值)


无旋电场产生的电压






即有用的是


假设此时电路的电流为


则如果为纯电阻电路,电压则应该为


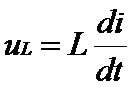
实际上是


可见电感的电压电流同频率,相位不同,电压超前电流/2,或者说是改变了电压/2的相位


以上相加均属于简谐量相加
纯电容电路可以类似证明,结果为
假设电压


电流为


即电流超前π/2

倘若要调整电压或者电流的相位,则添加一定阻抗的电感或电容即可,例如下面一个例子。

倘若要调整电压或者电流的相位,则添加一定阻抗的电感或电容即可,例如下面一个例子。
首先有个电压方程


由上面得到的电感电容的UI矢量图,可以合并有最终可以合并得到Um,可以看出与Im有一定的相位差


证明完毕
烜芯微专业制造二极管,三极管,MOS管,桥堆等20年,工厂直销省20%,4000家电路电器生产企业选用,专业的工程师帮您稳定好每一批产品,如果您有遇到什么需要帮助解决的,可以点击右边的工程师,或者点击销售经理给您精准的报价以及产品介绍
烜芯微专业制造二极管,三极管,MOS管,桥堆等20年,工厂直销省20%,4000家电路电器生产企业选用,专业的工程师帮您稳定好每一批产品,如果您有遇到什么需要帮助解决的,可以点击右边的工程师,或者点击销售经理给您精准的报价以及产品介绍