在平时的工作中,可控硅整流器作为一种常用到的重要元件,在工程师们的设计方案中出现频率是很高的。其中,6脉冲可控硅整流器和12脉冲可控硅整流器都非常受欢迎。那么,这两种整流器可以通用吗?二者有哪些不同呢?在今天的文章中,小编将会从他们的运行原理入手,为大家简析一下他们的不同之处。
首先要为大家介绍的是6脉冲可控硅整流器的运行工作原理。这里所谓的6脉冲,指的是以6个可控硅组成的全桥整流,由于有6个开关脉冲对6个可控硅分别控制,所以我们一般称之为6脉冲整流。这种6脉冲整流器的基础结构如图1所示。


图1 6脉冲整流器
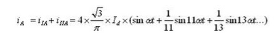
这里我们以图1所示的6脉冲整流器运行结构为基础,来对它的运行特点进行简要分析。我们暂时忽略三相桥式可控硅整流电路换相过程和电流脉动,假定交流侧电抗为零,直流电感为无穷大,延迟触发角a为零,则交流侧电流傅里叶级数展开可以计公式为:


由上文中的公式,我们可以得出以下一个结论,那就是在6脉冲整流器的电流中,含6K(k为正整数)次谐波,即5、7、11、13...等各次谐波,各次谐波的有效值与谐波次数成反比,且与基波有效值的比值为谐波次数的倒数。


图2 计算机仿真的6脉冲A相的输入电压、电流波形
依据对上文中两个公式的计算,我们可以得出结论,那就是在12脉冲可控硅整流器运行过程中,两个整流桥产生的5、7、17、19、...次谐波相互抵消,注入电网的只有12k次谐波,即11、13、23、25等各次谐波,且其有效值与与谐波次数成反比,而与基波有效值的比值为谐波次数的倒数。


图3 12脉冲整流器示意图(由2个6脉冲并联组成)
在这种12脉冲的可控硅整流器运行过程中,其本身桥1的网侧电流傅立叶级数展开可得出公式为:


则合成的网侧线电流可计算为:


由此可见,在12脉冲的可控硅整流器运行过程中,两个整流桥产生的5、7、17、19、...次谐波相互抵消,注入电网的只有12k(k为正整数)次谐波,即11、13、23、25等各次谐波,且其有效值与与谐波次数成反比,而与基波有效值的比值为谐波次数的倒数。


图4 计算机仿真的12脉冲UPS A相的输入电压、电流波形
烜芯微专业制造二极管,三极管,MOS管,桥堆等20年,工厂直销省20%,4000家电路电器生产企业选用,专业的工程师帮您稳定好每一批产品,如果您有遇到什么需要帮助解决的,可以点击右边的工程师,或者点击销售经理给您精准的报价以及产品介绍
烜芯微专业制造二极管,三极管,MOS管,桥堆等20年,工厂直销省20%,4000家电路电器生产企业选用,专业的工程师帮您稳定好每一批产品,如果您有遇到什么需要帮助解决的,可以点击右边的工程师,或者点击销售经理给您精准的报价以及产品介绍