今天我们来深入了解一下第一种组态,共发射放大电路的详细资料。
首先请了解一下共发射放大电路图(如下):

因具有电流与电压放大增益,所以广泛应用在放大器电路。其电路特性归纳如下:
输入与输出阻抗中等(Ri约1k~5k ;RO约50k)。
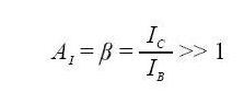
电流增益:

电压增益:

负号表示输出信号与输入信号反相(相位差180°)。
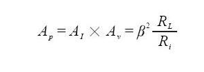
功率增益:

烜芯微专业制造二极管,三极管,MOS管,桥堆等20年,工厂直销省20%,1500家电路电器生产企业选用,专业的工程师帮您稳定好每一批产品,如果您有遇到什么需要帮助解决的,可以点击右边的工程师,或者点击销售经理给您精准的报价以及产品介绍