贴片三极管共基极放大电路图如下:

从贴片三极管共基极放大电路图可以看出主要应用在高频放大或振荡电路,其低输入阻抗及高输出阻抗的特性也可作阻抗匹配用。电路特性归纳如下:
输入端(EB之间)为正向偏压,因此输入阻抗低(约20~200 )
输出端(CB之间)为反向偏压,因此输出阻抗高(约100k~1M )。


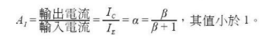
贴片三极管共基极放大电路电流增益:


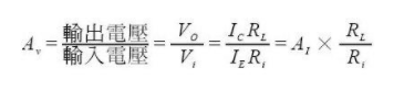
虽然AI小于1,但是RL / Ri很大,因此电压增益相当高。
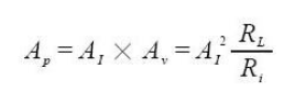
贴片三极管共基极放大电路功率增益:

从上图公式可以看出,由于AI小于1,所以功率增益不大。
烜芯微专业制造二极管,三极管,MOS管,桥堆等20年,工厂直销省20%,1500家电路电器生产企业选用,专业的工程师帮您稳定好每一批产品,如果您有遇到什么需要帮助解决的,可以点击右边的工程师,或者点击销售经理给您精准的报价以及产品介绍