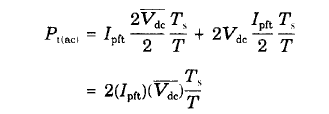
MOS功率开关管损耗2.2.12.1 交流开关 (电流电压间的 “堆叠”) 损耗由于在 T=O 后很短的时间内 ,电感呈现无量大阻抗 ,所以变压器漏感会使集电极电压下 降很快。虽然电感上的电流不能突变 ,流过漏感的电流上升迟缓 ,但导通时降落电压和上升 电流之间堆叠很少,跨导通时开关损耗能够疏忽 。而关断时 ,如图 1.5 C b ) 中针对 buck 调整器 所做的假定 ,最差状况下两者之间会有显著的堆叠 。详细细节如图 2.8 所示,假定在电压上 升到其最大值 2飞 的时间T.r 内,电流坚持为其等效平顶坡脉冲幅值/p血 ( 2.2.10.1 节)。在电 流从降落到零的时间兀 内,mOS电路电压坚持为 2汇 。设T盯=1;;f 宅 ,开关周期为 T,则每个开关 管在一个周期内的总开关损耗 F'i(ac) 为

依据式 ( 2.9 ) ,可得


2.8 1ft挽MOS开关管的变变 ,即 “ 堆叠” 开关损耗。导通时开关损耗口j疏忽,由于变压器漏感招致电&降落时间很短,电流 七升时间很长 ,使得 F降电压和L:Jl屯ifri之间.辛辛很少 。关断时口J能呈现的最坏状况 为,直到电压卜升至 2瓦 时,电流仍维持在其峰值 I,街 不变:电流F降期间 ( 兀 ),电压坚持在2汇 不变.

图 2.14 交错正激变换器 。QI 和 Q2 每半周期交替导通 ,次级输出相加使 每周期有两个功率脉冲 ,且避免了推挽拓扑的磁通不平衡问题