当二极管应用于线性电路中,在这种情况下,交流小信号将叠加在直流电流、直流电压之上,故称小信号分析,如图1所示,下面我们一起来看二极管电路小信号究竟如何分析?

图1 二极管的交流特性
二极管的直流分析
1、直流电阻:首先我们只对二极管进行直流分析,仅考虑直流电源E的作用,因此,交流电源应该是短路的,如果我们将二极管的正向电压降视约为0.7V的一个常数,此时二极管的端电压和端电流均为直流量,分别用UD(大写电压U、D为直流)和ID(大写电流I、D为直流)表示。

图2
图2(a)二极管直流通路,(b)二极管直流伏安特性和静态工作点Q
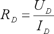
在直流电源E的作用下,对应于二极管电流ID和二极管两端电压UD的点我们称为静态工作点,两者的比值定义为直流电阻RD,即

UD约为0.7V,ID为二极管直流电流
2、二极管直流电流ID:二极管在静态工作点上时符合伏安特性曲线,公式表示静态工作点时该点电流ID为

其中:IS为二极管的最大反向饱和电流,二极管外加反向电压时微小的电流值;e为自然常数,约为2.71828;UD为二极管两端电压,约为0.7V;UT为二极管的温度电压当量,可以表示为UT = kT/q,T=t+273,其中t为摄氏温度,q是单位电子的电荷量=1.6021892×10-19C;k为玻耳兹曼常数,k=1.3806505×10-23J/K,在室温27°C左右时,即T=300 K,温度电压当量为UT≈26 mV。
注意:由于UD/UT≈0.7V/26 mV≈27,那么e^27是一个很大的数字,减一后约等于e^27即e^UD/UT
二极管的伏安特性曲线如下:

图3
二极管的交流分析
1、动态电阻:动态分析是直流电源E和交流信号源ui共同作用的结果,它是在一个固定的直流电压UD(0.7V)和电流ID(即静态工作点Q)的基础上,由交流信号ui引起特性曲线在Q点附近的一小段电压uD(小写电压u)和电流iD(小写电流i)的变化产生的。若该交流信号ui是低频,而且幅度很小(通常称低频小信号),则由此引起的电流变化量也很小,这一小段特性曲线可以用通过Q点的切线来等效。

图4
图4(a)二极管交流通路,(b)二极管交流伏安特性和动态工作点Q
若在Q点的基础上外加微小的低频信号ui,二极管两端的电压变化量△uD和电流变化量△iD,如图4(b)中所标注,则此时的二极管可等效成一个动态电阻rd,根据二极管的电流方程可得

可见rd是用以Q点为切点的切线斜率的倒数,如图4(b)中Q点切线倒数。Q点在伏安特性曲线上的位置不同,rd的数值将不同,故此它是一个动态电阻rd。根据二极管的电流方程

其中:iD为二极管的电流,IS为二极管的最大反向饱和电流,二极管外加反向电压时微小的电流值;e为自然常数,约为2.71828;uD为二极管两端动态电压=UD(直流电压约0.7V)+ud(二极管交流电压),uD不再是0.7V;UT为二极管的温度电压当量(见(1))。
可得:

其中:△uD为二极管两端的电压变化量;△iD为二极管两端的电流变化量;duD为二极管某点的电压;diD为二极管某点的电流;IS为二极管的最大反向饱和电流,二极管外加反向电压时微小的电流值;e为自然常数,约为2.71828;uD为二极管两端动态电压=UD(直流电压约0.7V)+ud(二极管交流电压),uD不再是0.7V;UT为二极管的温度电压当量(见(1))。
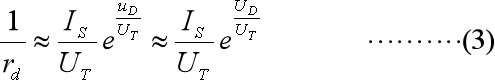
由(2)式可知,由于ud(二极管交流电压)非常小,那么uD可以近似看做UD,则(2)式可以变换为

把(1)式带入(3)式中,可以得到

其中:UT为二极管的温度电压当量,在室温27°C时,即T=300 K,UT≈26 mV(见(1));ID为静态工作点二极管直流电流
通过(4)式说明,只需要知道静态工作点二极管直流电流,就可以知道在室温27°C时的动态电阻大小。静态电流ID越大,rd将越小。反之,则rd将越大。
例题1:二极管电路如图5所示。设E=10V,ui=0.1sinωt(V),R=5KΩ,二极管的导通电压为0.7V,试求二极管的直流电流和交流小信号电流。

图5
答:令ui=0,得到直流电流所流经的路径(称为直流通路)如图6所示。故流过二极管的直流电流为:


图6
再令E=0,得到交流电流所流经的路径(称为交流通路)如图7所示,图中的交流电阻rd即


图7
故二极管上的交流电流为:

例题分析:已知二极管的ID=1~10A,常温下UT=26mV,试求出二极管两端电压UD为0.7V时的直流电阻RD和交流电阻rd。
〈烜芯微/XXW〉专业制造二极管,三极管,MOS管,桥堆等,20年,工厂直销省20%,上万家电路电器生产企业选用,专业的工程师帮您稳定好每一批产品,如果您有遇到什么需要帮助解决的,可以直接联系下方的联系号码或加QQ/微信,由我们的销售经理给您精准的报价以及产品介绍
联系号码:18923864027(同微信)
QQ:709211280