1 引言
MOSFET管的导通电阻具有正的温度特性,可自动调节电流,因而易于并联应用。但由于器件自身参数(栅极电路参数及漏源极电路参数不一致)原因,并联应用功率MOSFET管会产生电流分配不均的问题,关于此问题,已有文献进行过分析,这里进一步分析 MOSFET管并联应用时导通电阻Ron、栅阈电压UT、跨导Gm等自身参数及部分电路参数对静态和动态电流分配的影响。
2 导通电阻Ron对静态电流分配的影响
这里静态是指器件开关过程已结束并进入稳定导通后的工作状态。此时,由于导通电阻Ron具有正的温度系数KT,可抑制电流分配不均的程度,但不能根本消除电流分配不均现象。实践证明,当n只器件并联时,若其中只有1只器件具有较小的导通电阻Ron,这时静态电流不均现象最为严重。设较小导通电阻为R1,其余器件的导通电阻为R2,并设其结温为Tj=25℃时的导通电阻分别为 R10和R20,而结温Tj≠25℃时的导通电阻分别为R1T和R2T,则有:


式中,In为MOSFET管的漏极电流,RTj为PN结到管壳的热电阻。
若负载电流为I0,当各器件不存在电流分配不均现象时,各管漏极电流平均值为:


式中为漏极电流的不均匀度为导通电阻的不匹配度;M=I2BR10RTjKT,称为功率MOSFET管导通电阻的自主补偿系数。
当并联支路数n→∞时,式(6)可简化为:
在式(7)、(8)中再分别令M=0和n→∞,则均可得到:
A=B (9)
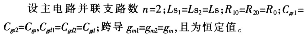
图2是以IRFP064为例,根据式(6)~(9)计算出的漏极电流不均匀度A与导通电阻均匀度B间的关系曲线(以n为参变量),可得出如下结论:(1) 并联器件数n相同的每一组曲线,漏极电流不均匀度A随自主补偿系数M的增大而下降;(2)并联器件数n相同的每一组曲线,两条曲线间的差距随n的增大而增大;(3)并联器件数n相同的每组曲线,随n的减小而降低;(4)并联器件的静态电流不匹配度A有最大值,即A=B。所以,降低并联器件的电流不匹配度的最有效方法就是提高并联器件导通电阻的匹配程度。


3 阈值电压UT对动态电流分配的影响
动态电流分配不均是指由于器件本身参数失配而使各并联支路在开关过程中电流大小不一致的现象。原因很多,这里以图3为例分析阈值电压UT引起的电流分配不匀现象。




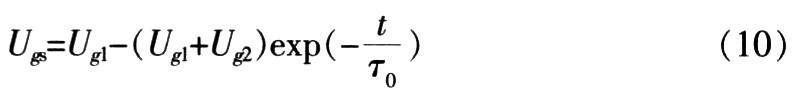
3.1 VT1、VT2均未导通时的栅极电压,0→t1时段,iD1=iD2=0
栅极驱动信号由负半周进人正半周后,信号源Ug向两管的栅极电容Cgs充电,即:



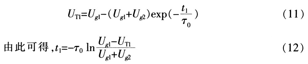
3.2 仅VT1管导通时的栅极电压,t1~t2时段
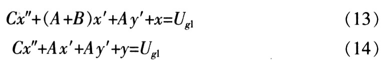
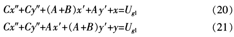
在t1~t2时间段内,iD1>0,iD2=0。对其整理,得到二阶微分方程组:


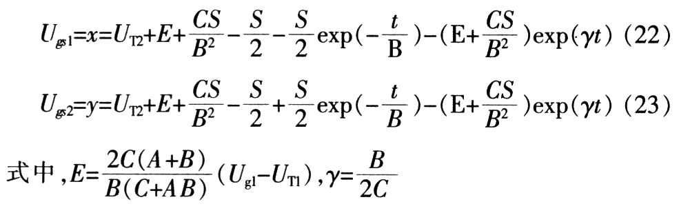
式中,变量系数的数量级为A≈10-8,B≈10-5,C≈-10-13。下面分析中认为B>>A>>C??悸莟1~t2时间段变量x的初始条件,t=0时(即上一阶段t=t1时);x=UT1;并选择x'=0,并考虑微分方程中变量系数的数量级关系,得此微分方程组的解为:


3.3 两管均导通时的栅极电压,时段t2~∞
在t2~∞时间段内,iD1>0,iD2>0根据图3,可整理得出二阶微分方程组为:


式中,C=2RgCgdgm(L0+LS),同上述略有差异,但这种差异对结果影响甚微,予以忽略。
考虑本时段变量),的初始条件,t=0时(即上一阶段t=t2时),y=UT2;并选择y'=y(t2),得此微分方程组的解为:


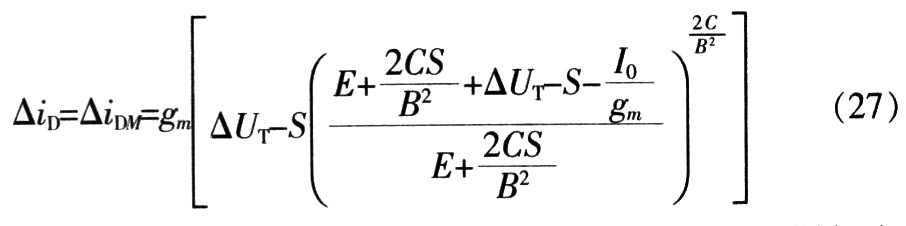
此时,两个 极电流的差达到最大值,即:


式(26)~式(27)反映了并联应用的功率MOSFET极电流分配不匀程度及其与器件参数、电路参数的关系,以上分析利用了近似关系式B> >A>>C,当不满足该关系时,以上分由式(26)~(27)可以看出,两漏极电流分配不均的程度与管子参数gm、UT1、UT2、 Cgs、Cgd和电路参数Rg、Ls、Lo等都有密切关系。根据场效应管IRFP064的典型参数及典型电路参数应用式(10)、(15)、(16)、 (22)、(23)得到曲线如图4所示。当得到的漏极电流的不均匀程度及所需时间随管子参数和电路参数的变化关系如图5、图6所示。




4 结束语
通过以上分析,要减小并联应用的MOSFET管电流分配不匀的影响,当应用电路采用如图3所示的控制方式时,可采取以下措施:(1)尽量选择UT、gm、Ron等参数对称的管子,这是最基本的方法;(2)适当引入源极电感Ls,这样既可提高漏极电流iD 的均匀度,又不至于明显增大上升时间;(3)在漏极电流如的上升时间满足要求的情况下,尽量减小栅极电阻Rg;(4)通过合理安排元器件及合理布线,尽量减小漏极分布电感。
〈烜芯微/XXW〉专业制造二极管,三极管,MOS管,桥堆等,20年,工厂直销省20%,上万家电路电器生产企业选用,专业的工程师帮您稳定好每一批产品,如果您有遇到什么需要帮助解决的,可以直接联系下方的联系号码或加QQ/微信,由我们的销售经理给您精准的报价以及产品介绍
联系号码:18923864027(同微信)
QQ:709211280