“数字电路讲过载,模拟电路讲放大!”
可见“放大”功能在模拟电路中的重要性。这次我们不做小制作了,专门讲讲三极管放大电路的原理。
三极管最基本的放大功能是给基极一个大于一定电压的电流,这个电流的变化会在集电极和发射极间放大。我们做的几个功放电路就是利用了这个原理。首先将小电压信号转换成一个小电流信号,然后利用半导体三极管的电流放大作用,将微弱的电流信号放大成大电流波动,让这个大电流波动通过一个电阻变为大电压波动输出。
三极管在放大状态下才有放大作用。但是,不是所有的信号的电压都是高到可以让三极管进入放大状态的。那么,怎么让三极管处在放大状态呢?要给基极提供一个恒定的电压。如果三极管是硅管,那么这个电压要在0.7V以上,锗管的话,电压要在0.3V以上。

我们来看这个电路图。RB的作用就是用来给VT1提供一个可以始终处于放大状态的电压,其大小决定了放大器的静态工作点。
RC的作用是将集电极的电流变化转换成我们需要的电压变化,即输出电压信号。
电容C1的作用是将需要放大的电压信号耦合到放大器的输入端。好吧,“耦合”这个词有点难理解,其实就是传递的意思。因为信号源直接输入,会破坏放大器的工作状态,从而使放大器的性能变差,甚至不能工作。电容的通交流,阻直流的特点,可以将放大器和信号源之间的直流工作状态相互隔离,同时能够将变化的信号传递到VT1。
C2的作用和C1差不多,只是它是把放大后的信号传递到下一级放大器或者负载。
好了,每个元件的作用我们说过了,那么回过头来我们稍微详细说一下对放大电路非常重要的“静态工作点”。
前面我们说如何让三极管始终处于放大状态的时候,提到了“静态工作点”这个词,但是并没有细说。
在没有信号输入时,放大器的状态称为静态。这时的集电极电流Ic称为静态工作电流或工作点电流,用ICQ来表示。三极管各个电极的电压称为静态工作点压,最重要的是三极管C、E之间的电压VCE值。
对于具体的电路,静态工作电流和工作电压是可以估算的。就拿上面的电路图来说吧。
RB电阻两端的电压为VRB=VCC-0.7=6-0.7=5.3V。那么基极的静态电流就是

集电极的静态电流是

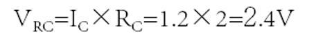
电阻RC上的电

集电极电压

其实静态工作点是很重要的,它影响着放大器的放大能力和放大后的信号失真,这两项是放大器品质好坏的关键参数。
〈烜芯微/XXW〉专业制造二极管,三极管,MOS管,桥堆等,20年,工厂直销省20%,上万家电路电器生产企业选用,专业的工程师帮您稳定好每一批产品,如果您有遇到什么需要帮助解决的,可以直接联系下方的联系号码或加QQ/微信,由我们的销售经理给您精准的报价以及产品介绍
联系号码:18923864027(同微信)
QQ:709211280