如今电源设计工程师需要考虑许多设计方面和优先事项。设计优先级往往按以下顺序排列:拓扑结构、控制器、FET 开关、驱动器(如果是独立的)、磁性元件、无源功率元件,最后是要使用的多层陶瓷电容器(MLCC)和数量。只要MLCC可以满足设计需求,至少在数据表上,MLCC仍然是低优先级。虽然,电源转换器中的所有器件都很重要,但是,MLCC在涉及众多参数的电源设计中扮演着多重角色。
1.什么是多层陶瓷电容器(MLCC)
MLCC以其小尺寸、高电容密度和低等效串联电阻(ESR)和电感(ESL)值而闻名。但是,MLCC供应商提供的典型参数是外壳尺寸、电容和容差、温度特性和额定电压。电源设计人员需要了解有效电容(实际在线电容)、ESR和ESL值、纹波电流(RC)处理和成本。一些电源设计专门针对给定输出电容器解决方案的最小电容(C值)以及最大ESR和ESL值。在高瞬态应用中尤其如此。


图1 MLCC等效电路模型
图1显示了MLCC等效电路模型,其中磁滞电阻(Rh)是一个与频率相关的值(与所使用的介电材料及其各自的极化延迟有关),并在ESR-/Z/中反映为变化的ESR值对频曲线如图2所示:


图2 ESR-/Z/与频率
由温度引起的电容变化有据可查,取决于介电材料,并在定义的温度范围内产生已知的电容变化。然而,影响有效电容的另一个因素是施加的直流电压,通常称为“直流偏置效应”。随着施加的DC电压增加,介电常数(K)和电容都作为暂时现象下降。此外,随着施加的交流电压降低,有效C值也会降低。在纹波电压控制至关重要的低压应用中,例如在CPU的Vcore设计中,这种AC相关的降低很重要。参见图3。


图3 DC/AC电压对MLCC的影响
MLCC的ESR值取决于许多参数。关键因素包括:
①外壳尺寸
②层数
③内电极材料、厚度、共面性、密度和长宽比
④施加的直流电压(如电容)
⑤频率
MLCC的ESL值由外壳尺寸及其内部电极的长/宽纵横比决定。ESL通常是根据案例大小给出的。此外,外部终端的数量及其配置也会影响ESL。尽管不存在行业标准,但纹波电流额定值与I2x ESR损耗导致的特定自身温升有关,这会产生热量。因此,纹波电流值取决于频率和直流电压,其曲线是ESR曲线的倒数。典型的MLCC RC与频率曲线如图4a所示:


图4a 纹波电流与频率


图4b 温升与纹波电流
这是针对指定的自温升(ΔT)最大值。最大允许ΔT可能因供应商而异。图4a将ΔT列为+20℃,这对于额定高达+85℃或+125℃的电容器来说非常保守。在较低的环境温度下,MLCC可以承受更高的纹波电流,但仍能满足额定温度( T操作= T环境+ ΔT)。在此示例中,MLCC纹波电流能力范围为0.25A (1000 Hz) 至2.25A (1MHz)。为了设计合适的输出电容器解决方案,必须拥有准确的电容器频率相关信息。此外,MLCC供应商可能会提供RC与温升的关系,但必须指定生成曲线的频率。这方面的一个例子如图4b所示。
2.MLCC在POL中的作用
2.1低通输出滤波器(有时称为RF输出滤波器)
在降压转换器中,输出电感器(L)的值与等效输出电容器C值一起形成低通滤波器(LPF)。该滤波器的频率响应具有转角频率fc,位于:


它用于去除转换器的基本开关频率(Fsw)及其后续谐波,还用于将任何交流成分和开关瞬变与流向输出负载的所需直流电流去耦。这还包括帮助平滑输出电感器的三角电流波形。为了获得适当的性能,低通滤波器的转角频率需要远低于Fsw。因此,需要考虑输出MLCC的C值、其在各种条件下的容差和稳定性,包括直流偏置效应。
2.2纹波电压抑制(平滑)
纹波电压(假设负载为稳态)是降压转换器导通和关断期间负载和输出电容器两端的输出电压差。在导通期间,通过电感器提供AC+DC电流,AC电流流入输出电容器进行充电(达到某个最大电压电平),DC电流流向负载。
在关闭周期期间,能量开始从输出电感器流失(通过磁场的衰减),因为没有输入电流被提供,输出电容器成为次级(如果处于连续传导模式,CCM)或唯一的能源(如果处于非连续导通模式,则为 DCM)。当存储的能量为E =1/2CV2时,输出电容器向负载提供电流,并且随着能量从电容器中排出,电压电平开始下降(又名电压下降或Vdroop)在关闭周期的剩余时间。压降量取决于负载电流、输出电感值、关断时间和总C值(较高 = 更好的抑制)和ESR值(越低越好,因为这会降低内部电压降V=I x R)和输出电容器的ESL(更低= 更快响应)。设计人员需要了解每个MLCC的每一个,以便确定系统C、ESL和ESR值。用于计算最小C值的许多等式之一是:


其中I纹波是允许的纹波电流,Vripple是允许的纹波电压。更高的Cout值意味着更高的成本。
2.3纹波电流处理
纹波电流是在导通周期(流入电容器)和关断周期(流出电容器)期间流入和流出输出电容器的电流之差。由于I2 x ESR功率损耗,内部变化的电容器交流电流会导致自身温度升高。为了适应更高的纹波电流,设计人员需要使用更低ESR的电容器(即更高电容或专用MLCC)或使用更多的现有电容器,这也减少了任何电容器的电流量。如果没有设计足够的纹波电流处理能力,根据温度升高的程度、环境温度和持续时间,可能会发生潜在的MLCC故障。
对于许多降压转换器应用,输出电容器选择的控制因素是纹波电流处理能力。因此,MLCC的关键参数是ESR(最大值)值和纹波电流(最小值)额定值。
2.4储能
如前所述,存储在电容器中的能量为E=1/2CV2。C值越大,存储的能量越多。但设计人员需要将能量存储需求与尺寸、重量、数量、电路板空间、频率响应、产品寿命(老化效应)和成本权衡进行比较。纹波电压、纹波电流、压降、系统ESR值和每个电容器的纹波电流处理能力都会影响所需的C值,从而影响输出电容器的能量存储。就电压和电容而言,能量存储决定了在关闭周期或断电情况下的“保持”时间有多长。对于此关键功能,C值、容差、温度和DC偏置效应是关键的MLCC参数。
2.5瞬态响应
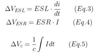
在电力电子的复杂现实世界中,负载可能会发生变化并具有相当于每微秒数百安培(di/dt)或更高(例如:服务器CPU)的负载升压(即负载增加)。对于这些情况,转换器(或电压调节器,VR)无法响应,因为它需要等待某个反馈信号通知它存在负载变化。同样,通过输出电感器的电流不能立即改变,因此不能足够快地做出反应,因为它需要在能够提供负载所需的额外电流之前建立其磁场。能够满足这些极端要求的唯一能源是配电网络(PDN) 中的输出电容器。
由于其低ESR和ESL值,MLCC是少数可以在高di/dt事件期间提供所需性能的电容器技术之一。然而,标准配置的MLCC仍然无法在最严格的应用中提供所需的性能。电容器的内部ESL必须首先“饱和”,即在能够开始响应负载变化之前建立抑制电流流动的小磁场(H)。因此,像反向几何电容器这样的特殊电容器,其终端放置在MLCC侧或具有特殊内部电极配置和多终端的MLCC,可显着降低ESR和ESL。
在MLCC能够对负载变化做出反应之前,如果输出电容器无法在足够长的时间内提供负载电流,直到其他能源可用,系统电压电平将开始下降并可能降至临界最低电平以下(例如CPU的Vcc容差)也开始反应。低ESR/ESL MLCC是最小化电压下降的第一道防线,但可能没有足够的大容量能量存储来完全独立完成。
在瞬态事件期间,MLCC响应首先受到其ESL的限制,其最初禁止电流流出(最接近负载的)电容器。下一阶段的响应由ESL和ESR主导,并涉及下一组电容器。第三阶段取决于ESR和C值,涉及大容量存储电容器,最后,其他存储设备发生恢复,VR开始提供更多电流。输出电容器内电压下降的其它者的基本公式为:


其中:(等式3是高频瞬变);
对于图5a中的多电容器技术解决方案的模拟响应,对于图5b中所示的PDN网络:


图5a 瞬态期间的电压降


图5b PDN的高di/dt电容方案
在瞬态响应场景中,ESL 至关重要,MLCC 供应商继续努力寻求更低的解决方案。设计人员将每种输出电容器技术的最大值作为目标,并减少 PCB 布局杂散电感。另一个关键参数是 ESR,通常重点是最小化该值以满足最大目标。最后,需要电容值及其大量能量存储来提供能量,直到转换器的控制回路可以响应并且转换器开始向负载提供能量并对 PDN 中的电容器充电。在这里,设计人员通常需要针对每种电容器技术的系统最小值。
2.6抛负载
另一个极端情况是负载(能量)倾倒,当电流需求突然减少(负载降压)时也会发生这种情况。例如当CPU进入空闲模式时。在这里,在高负载电流需求期间,磁性元件被储存的能量(E = 1/2LI2) 饱和。当到电源的负载路径不再存在时,唯一剩下的电流出口是通过输出电容器。因此,设计工程师需要考虑电感值的权衡。值太小会导致纹波过多,而值太高可能会存储太多能量,需要额外的输出电容器来处理负载突降。
流向电容器的电流增加会产生更高的功率损耗(Ploss = I2 x ESR),并且可能会导致热问题,就像上面提到的高纹波电流一样。此外,随着流入电容器的电流增加,现在可能会出现过大的电压尖峰。因此,设计人员需要平衡电感值及其存储能量与输出电容及其能量存储能力,并确保有足够的电容、足够低的ESR来处理电感释放的能量。
2.7瞬态电压尖峰抑制
如上所述,瞬态事件可以是负载升高或负载降低。由于输出电感电流的压摆率增加快于减少(当Vin>Vout时),因此降压期间的瞬态更为关键。在降压变化期间,就像负载突降一样,电感电流不再 100% 流向负载,因为其需求已大幅下降。因此,大部分电流现在必须流经输出电容器,因为:


其中IL是电感电流,IO是输出负载电流,IC是通过电容器的电流。如图6所示:


图6 负载降压期间的负载、电感器、电容器电流
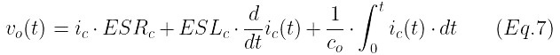
此外,就在降压瞬态事件之前,如果处于恒定的高负载,输出电容器的电压将处于或接近其最大值。因此,由于内部ESR和ESL两端的大电流流经电容器,因此预先存在的电容器电压和电压降会在瞬态期间在电容器和负载两端引入电压尖峰。降压瞬变期间的输出电压波形可以计算为:


哪些是之前给出的组合V下降方程,但电流现在流入输出电容器并导致电压增加?从微观层面来看,反应较慢的电感器电流IL无法满足快速变化的负载电流IO需求,因此IC会通过输出电容器的 ESR C及其ESL C。预先存在的电容器电荷以及ESR C和ESL C电压都从瞬态期间产生的输出电压尖峰下降。该电压尖峰然后持续到能量从输出电感器IL耗尽 并且电压调节器现在已经自我调整以提供减少的电流。
CPU和VR等智能系统包含自适应电压定位(AVP) 等功能,有助于减少敏感应用中瞬态电压尖峰的影响,但大部分负担仍落在输出电容器上,因此,它们的ESR和ESL值对于最小化瞬态电压尖峰的峰值至关重要。这些值越低,电压尖峰峰值越低。
以上就是多层陶瓷电容器在POL应用中的作用介绍了。此外多层陶瓷电容器还具有控制回路补偿和稳定性、相位和置零、EMI 抑制和负载旁路、负载线阻抗匹配、负载噪声过滤以及效率提升等作用。而且在设计完成之前,需要对每个功能和相应的电容器解决方案进行计算、建模、仿真和测试。
〈烜芯微/XXW〉专业制造二极管,三极管,MOS管,桥堆等,20年,工厂直销省20%,上万家电路电器生产企业选用,专业的工程师帮您稳定好每一批产品,如果您有遇到什么需要帮助解决的,可以直接联系下方的联系号码或加QQ/微信,由我们的销售经理给您精准的报价以及产品介绍
联系号码:18923864027(同微信)
QQ:709211280