在信号处理领域中,对于信号处理的实时性、快速性的要求越来越高。而在许多信息处理过程中,如对信号的过滤、检测、预测等,都要广泛地用到滤波器。其中数字滤波器具有稳定性高、设计灵活等优点,避免了模拟滤波器所无法克服的电压漂移、温度漂移和噪声等问题,因而随着数字技术的发展,用数字技术实现滤波器的功能越来越受到人们的注意和广泛的应用。下面将介绍其是如何工作的?
数字滤波器对信号滤波的方法是:用数字计算机对数字信号进行处理,处理就是按照预先编制的程序进行计算。数字滤波器的原理如图所示,它的核心是数字信号处理器。


数字滤波器原理图
这过程必须利用采样定理(samplingtheorem)进行采样。输入信号经过模拟低通滤波即抗折叠滤波器(anTI-aliasingfilter)去掉输入信号中的高频分量。经过平滑化的模拟信号再用于采样。另外D-A转换后模拟信号要经过平滑滤波器(smoothingfilter)进行平滑处理,该工作可用模拟低通滤波器来完成。
另外,数字通信中使用的数字均衡器(digitalequalizer)也可以视作一种数字滤波器,但是用数字均衡器直接进行数字信号处理时,就不再需要图中的A-D转换器和D-A转换器。
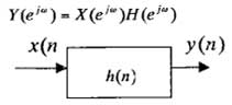
所谓数字滤波器,就是把输入序列通过一定的运算变换成输出序列。如上图所示。其时域输入输出关系是:


若x(n),y(n)的傅里叶变换存在,则输入输出的频域关系是:


假定|X(ejw)|,|H(ejw)|如图中(a),(b)所示,则由式得|Y(ejw)|如图(c)所示。


滤波效果图
这样,x(n)通过系统h(n)的结果是使得输出y(n)中不再含有|w|>wc的频率部分,而使|w|
总而言之,数字滤波器是按照程序计算信号,达到滤波的目的。通过对数字滤波器的存储器编写程序,就可以实现各种滤波功能。对数字滤波器来说,增加功能就是增加程序,不用增加元件,不受元件误差的影响,对低频信号的处理也不用增加芯片的体积。用数字滤波方法可以摆脱模拟滤波器被元件限制的困扰。
〈烜芯微/XXW〉专业制造二极管,三极管,MOS管,桥堆等,20年,工厂直销省20%,上万家电路电器生产企业选用,专业的工程师帮您稳定好每一批产品,如果您有遇到什么需要帮助解决的,可以直接联系下方的联系号码或加QQ/微信,由我们的销售经理给您精准的报价以及产品介绍
联系号码:18923864027(同微信)
QQ:709211280