MOS管的工作状态分为以下4个区域,以NMOS为例:
(1)截止区:
当VGS
(2)线性区:
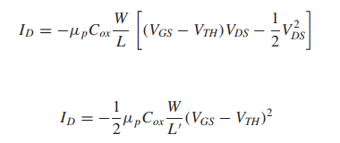
当VGS>Vth, 且0


此时器件工作在线性区,有时也称为三极管区,式中un为导电沟道中电子的迁移率。 Cox为单位面积的栅氧化层电容,tox为氧化层的厚度。 W和L分别为晶体管导电沟道的宽和长,VGS-Vth称为过驱动电压。
(3)饱和区:
当VGS>Vth, 且VDS>VGS-Vth时,沟道电流ID为


随着VDS增大,当VGS-Vth=VDS时,漏极的反型层逐渐消失,出现预夹断。 当VDS继续增大,这夹断点向源端移动,最终形成由耗尽层构成的夹断区,MOS管进入饱和区工作。 此时沟道两端的电压保持VDS-Vth,而VDS的增加部分降落到夹断耗尽区内,ID几乎不变,达到最大。
(4)击穿区
NMOS 管的漏极—衬底PN结由于VD过高被击穿。


需要注意的是,对于PMOS器件来说,线性区和饱和区的漏极电流公式需要加负号,VGS,VDS和VGS-Vth都是负的。 由于空穴的迁移率是电子的一半,所以PMOS具有较低的“电流驱动”能力。 换句话说,在工程应用中,只要有可能,我们应该更加倾向于采用NFETs而不是PFETs。
NMOS管I/V特性曲线


这是NMOS管的I/V特性曲线,我们不难看出,
当VGS < Vth时,导电沟道未形成,故处于截止区。
当VGS >Vth, 且0 < VDS < VGS-Vth时,器件工作在线性区(三极管区)。
当VGS >Vth, 且VDS > VGS-Vth时,沟道电流ID基本不随VDS的变化而变化。此时器件工作在饱和区??梢钥吹狡骷ぷ髟诒ズ颓?,漏极电流最大。
当VGS持续增大时,器件被击穿。
MOSFET的跨导
跨导这个概念是怎么来的呢? 引入这个概念有什么意义呢?
由于在处理信号的过程中,我们要考虑电压与电流的变化。 因此我们把这个参数定义为漏电流的变化量除以栅极电压的变化量。 我们称之为跨导(通常定义在饱和区),用gm表示。 跨到的单位是西门子(S)。


gm代表了器件的灵敏度,对于一个大的gm来讲,VGS的微小的变化将会导致漏电流产生很大的变化。


结合在饱和区的漏电流的表达公式,gm也可以表示成这样的表达式。 以上的每一个表达式,在研究gm随某一个参数变化,其他参数保持恒定(控制变量)的特性都是有用的。
〈烜芯微/XXW〉专业制造二极管,三极管,MOS管,桥堆等,20年,工厂直销省20%,上万家电路电器生产企业选用,专业的工程师帮您稳定好每一批产品,如果您有遇到什么需要帮助解决的,可以直接联系下方的联系号码或加QQ/微信,由我们的销售经理给您精准的报价以及产品介绍
联系号码:18923864027(同微信)
QQ:709211280