在电信工业和微波电路设计领域,普遍使用MOS管控制冲击电流的方达到电流缓启动的目的。MOS管有导通阻抗Rds_on低和驱动简单的特点,在周围加上少量元器件就可以构成缓慢启动电路。虽然电路比较简单,但只有吃透MOS管的相关开关特性后才能对这个电路有深入的理解。


本文首先从MOSFET的开通过程进行叙述:
尽管MOSFET在开关电源、电机控制等一些电子系统中得到广泛的应用,但是许多电子工程师并没有十分清楚的理解MOSFET开关过程,以及MOSFET在开关过程中所处的状态一般来说,电子工程师通?;谡ぜ绾衫斫釳OSFET的开通的过程,如图1所示此图在MOSFET数据表中可以查到


图1 AOT460栅极电荷特性
MOSFET的D和S极加电压为VDD,当驱动开通脉冲加到MOSFET的G和S极时,输入电容Ciss充电,G和S极电压Vgs线性上升并到达门槛电压VGS(th),Vgs上升到VGS(th)之前漏极电流Id≈0A,没有漏极电流流过,Vds的电压保持VDD不变。
当Vgs到达VGS(th)时,漏极开始流过电流Id,然后Vgs继续上升,Id也逐渐上升,Vds仍然保持VDD当Vgs到达米勒平台电压VGS(pl)时,Id也上升到负载电流最大值ID,Vds的电压开始从VDD下降。
米勒平台期间,Id电流维持ID,Vds电压不断降低。
米勒平台结束时刻,Id电流仍然维持ID,Vds电压降低到一个较低的值米勒平台结束后,Id电流仍然维持ID,Vds电压继续降低,但此时降低的斜率很小,因此降低的幅度也很小,最后稳定在Vds=Id×Rds(on)因此通??梢匀衔桌掌教ń崾驧OSFET基本上已经导通。
对于上述的过程,理解难点在于为什么在米勒平台区,Vgs的电压恒定?驱动电路仍然对栅极提供驱动电流,仍然对栅极电容充电,为什么栅极的电压不上升?而且栅极电荷特性对于形象的理解MOSFET的开通过程并不直观因此,下面将基于漏极导通特性理解MOSFET开通过程。
MOSFET的漏极导通特性与开关过程。
MOSFET的漏极导通特性如图2所示MOSFET与三极管一样,当MOSFET应用于放大电路时,通常要使用此曲线研究其放大特性只是三极管使用的基极电流、集电极电流和放大倍数,而MOSFET使用栅极电压、漏极电流和跨导。


图2 AOT460的漏极导通特性
三极管有三个工作区:截止区、放大区和饱和区,MOSFET对应是关断区、恒流区和可变电阻区注意:MOSFET恒流区有时也称饱和区或放大区当驱动开通脉冲加到MOSFET的G和S极时,Vgs的电压逐渐升高时,MOSFET的开通轨迹A-B-C-D如图3中的路线所示


图3 AOT460的开通轨迹
开通前,MOSFET起始工作点位于图3的右下角A点,AOT460的VDD电压为48V,Vgs的电压逐渐升高,Id电流为0,Vgs的电压达到VGS(th),Id电流从0开始逐渐增大
A-B就是Vgs的电压从VGS(th)增加到VGS(pl)的过程从A到B点的过程中,可以非常直观的发现,此过程工作于MOSFET的恒流区,也就是Vgs电压和Id电流自动找平衡的过程,即Vgs电压的变化伴随着Id电流相应的变化,其变化关系就是MOSFET的跨导:Gfs=Id/Vgs,跨导可以在MOSFET数据表中查到
当Id电流达到负载的最大允许电流ID时,此时对应的栅级电压Vgs(pl)=Id/gFS由于此时Id电流恒定,因此栅极Vgs电压也恒定不变,见图3中的B-C,此时MOSFET处于相对稳定的恒流区,工作于放大器的状态
开通前,Vgd的电压为Vgs-Vds,为负压,进入米勒平台,Vgd的负电压绝对值不断下降,过0后转为正电压驱动电路的电流绝大部分流过CGD,以扫除米勒电容的电荷,因此栅极的电压基本维持不变Vds电压降低到很低的值后,米勒电容的电荷基本上被扫除,即图3中的C点,于是,栅极的电压在驱动电流的充电下又开始升高,如图3中的C-D,使MOSFET进一步完全导通
C-D为可变电阻区,相应的Vgs电压对应着一定的Vds电压Vgs电压达到最大值,Vds电压达到最小值,由于Id电流为ID恒定,因此Vds的电压即为ID和MOSFET的导通电阻的乘积
基于MOSFET的漏极导通特性曲线可以直观的理解MOSFET开通时,跨越关断区、恒流区和可变电阻区的过程米勒平台即为恒流区,MOSFET工作于放大状态,Id电流为Vgs电压和跨导乘积
电路原理详细说明:MOS管是电压控制器件,其极间电容等效电路如图4所示。


图4. 带外接电容C2的N型MOS管极间电容等效电路
MOS管的极间电容栅漏电容Cgd、栅源电容Cgs、漏源电容Cds可以由以下公式确定:


公式中MOS管的反馈电容Crss,输入电容Ciss和输出电容Coss的数值在MOS管的手册上可以查到。电容充放电快慢决定MOS管开通和关断的快慢,Vgs首先给Cgs 充电,随着Vgs的上升,使得MOS管从截止区进入可变电阻区。进入可变电阻区后,Ids电流增大,但是Vds电压不变。随着Vgs的持续增大,MOS管进入米勒平台区,在米勒平台区,Vgs维持不变,电荷都给Cgd 充电,Ids不变,Vds持续降低。在米勒平台后期,MOS管Vds非常小,MOS进入了饱和导通期。为确保MOS管状态间转换是线性的和可预知的,外接电容C2并联在Cgd上,如果外接电容C2比MOS管内部栅漏电容Cgd大很多,就会减小MOS管内部非线性栅漏电容Cgd在状态间转换时的作用,另外可以达到增大米勒平台时间,减缓电压下降的速度的目的。外接电容C2被用来作为积分器对MOS管的开关特性进行精确控制??刂屏寺┘缪瓜咝远染湍芫房刂瞥寤鞯缌?。电路描述:图5所示为基于MOS管的自启动有源冲击电流限制法电路。MOS管 Q1放在DC/DC电源??榈母旱缪故淙攵?,在上电瞬间,DC/DC电源??榈牡?脚电平和第4脚一样,然后控制电路按一定的速率将它降到负电压,电压下降的速度由时间常数C2*R2决定,这个斜率决定了最大冲击电流。C2可以按以下公式选定:


R2由允许冲击电流决定:


其中Vmax为最大输入电压,Cload为C3和DC/DC电源??槟诓康缛莸淖芎?,Iinrush为允许冲击电流的幅度。


图5 有源冲击电流限制法电路


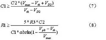
D1是一个稳压二极管,用来限制MOS管 Q1的栅源电压。元器件R1,C1和D2用来保证MOS管Q1在刚上电时保持关断状态。具体情况是:上电后,MOS管的栅极电压要慢慢上升,当栅源电压Vgs高到一定程度后,二极管D2导通,这样所有的电荷都给电容C1以时间常数R1×C1充电,栅源电压Vgs以相同的速度上升,直到MOS管Q1导通产生冲击电流。以下是计算C1和R1的公式:


其中Vth为MOS管Q1的最小门槛电压,VD2为二极管D2的正向导通压降,Vplt为产生Iinrush冲击电流时的栅源电压。Vplt可以在MOS管供应商所提供的产品资料里找到。MOS管选择以下参数对于有源冲击电流限制电路的MOS管选择非常重要:l 漏极击穿电压 Vds 必须选择Vds比最大输入电压Vmax和最大输入瞬态电压还要高的MOS管,对于通讯系统中用的MOS管,一般选择Vds≥100V。l 栅源电压Vgs稳压管D1是用来保护MOS管Q1的栅极以防止其过压击穿,显然MOS管Q1的栅源电压Vgs必须高于稳压管D1的最大反向击穿电压。一般MOS管的栅源电压Vgs为20V,推荐12V的稳压二极管。l 导通电阻Rds_on.MOS管必须能够耗散导通电阻Rds_on所引起的热量,热耗计算公式为:


其中Idc为DC/DC电源的最大输入电流,Idc由以下公式确定:


其中Pout为DC/DC电源的最大输出功率,Vmin为最小输入电压,η为DC/DC电源在输入电压为Vmin输出功率为Pout时的效率。η可以在DC/DC电源供应商所提供的数据手册里查到。MOS管的Rds_on必须很小,它所引起的压降和输入电压相比才可以忽略。
图6. 有源冲击电流限制电路在75V输入,DC/DC输出空载时的波形
〈烜芯微/XXW〉专业制造二极管,三极管,MOS管,桥堆等,20年,工厂直销省20%,上万家电路电器生产企业选用,专业的工程师帮您稳定好每一批产品,如果您有遇到什么需要帮助解决的,可以直接联系下方的联系号码或加QQ/微信,由我们的销售经理给您精准的报价以及产品介绍
联系号码:18923864027(同微信)
QQ:709211280